Perdón otra vez, pero no lo termino de entender. ¿Por qué entonces ese signo menos no multiplica a los dos paréntesis quedando 2x (-x+3)(x+3)? ¿Si fuera (-2x)(-x-3)(-x-3) cómo quedaría?
A ver de otra manera...(olvídate por un momento del problema en sí)
Veamos un ejemplo con números simplemente:
(-7)*(6)*(5) = (7)*(6)*(-5) "menos por más por más=mas por más por menos"
Sin embargo
(-7)*(6)*(5) ≠ (7)*(-6)*(-5) "menos por más por más ≠ mas por menos por menos"
El símbolo ≠ significa que "NO es igual"
...Ahora aplícalo a la duda de tu problema, ¿mejor?

Debes recordar la propiedad asociativa del producto: (a*b)*c = a*(b*c), que en palabras queda: "si debes multiplicar tres factores, primero multiplica a dos de ellos (los dos primeros o los dos últimos), y al resultado obtenido lo multiplicas luego por el tercer factor".
En el producto por el que preguntaste en tu consulta anterior tenías:
(-2x)(x-3)(-x-3) = resolvemos primero el producto de los dos primeros factores:
= (-2x2 + 6x)(-x - 3) = distribuimos:
= 2x3 + 6x2 - 6x2 - 18x = reducimos términos semejantes y queda:
= 2x3 - 18x.
(-2x)(x-3)(-x-3) = distribuimos primero el producto de los dos últimos factores:
= (-2x)(-x2 - 3x + 3x + 9) = reducimos términos semejantes en el segundo factor:
= (-2x)(-x2 + 9) = distribuimos y queda:
= 2x3 - 18x.
Espero haberte ayudado.
Que debo hacer para encontrar las tangentes horizontales de esta función f(x)= -5/(x^2-9)^2.
He obtenido la derivada f'(x)=(10x)/(x^2-9)^2 pero si la igualo a cero me da cero, y creo que algo estoy haciendo, porque tampoco soy capaz de determinar los puntos de inflexión ni los máximos y mínimos locales. ¿Puede ser que contengan asíntotas?

Tienes la expresión de la función:
f(x) = - 5 / (x2 - 9)2 = -5(x2 - 9)-2, cuyo dominio es: D = R - {-3,3}.
Luego derivamos (observa que aplicamos la regla de la cadena) y queda:
f ' (x) = -5(-2)(x2 - 9)-32x = 20x(x2 - 9)-3 = 20x / (x2 - 9)3 (observa que la derivada primera está definida en todo el dominio de la función).
Luego volvemos a derivar (observa que aplicamos la regla del producto y la regla de la cadena) y queda:
f ' ' (x) = 20(x2 - 9)-3 + 20x(-3)(x2 - 9)-4(2x) = 20(x2 - 9)-3 - 120x2(x2 - 9)-4= extraemos factor común:
= 20(x2 - 9)-4(x2 - 9 - 6x2) = 20(x2 - 9)-4(-5x2 - 9) = - 20(x2 - 9)-4(5x2 + 9) = -20(5x2 + 9) / (x2 - 9)4, (observa que la derivada segunda está definida en todo el dominio de la función).
Luego planteamos la condición de punto crítico, con tangente paralela al eje OX (posible máximo o posible mínimo):
f ' (x) = 0, sustituimos la expresión de la derivada primera y queda:
20x / (x2 - 9)3 = 0, hacemos pasajes de divisor como factor y de factor como divisor y queda:
x = 0.
Luego planteamos la condición de posible punto de inflexión:
f ' ' (x) = 0, sustituimos la expresión de la derivada segunda y queda:
-20(5x2 + 9) / (x2 - 9)4 = 0, hacemos pasajes de divisor como factor y de factor como divisor y queda:
5x2 + 9 = 0, hacemos pasaje de término y queda:
5x2 = - 9, hacemos pasaje de factor como divisor y queda:
x2 = - 9/5, hacemos pasaje de potencia como raíz y llegamos a:
x = √(-9/5) ∉ R, por lo que concluimos que la gráfica de la función no presenta puntos de inflexión.
Espero haberte ayudado.
Hola Unicoos, alguien me ayuda con este ejercicio porfavor? Z6 son los restos de dividir por 6
Gracias!

Me encantaría ayudarte, pero no respondo dudas universitarias que no tengan que ver específicamente con los videos que ya he grabado como excepcion. O de otras asignaturas que no sean matemáticas, física y química. Lo siento de corazón… Espero lo entiendas
Ojalá algun unicoo universitario se anime a ayudarte (de hecho lo ideal es que todos los universitarios intentarais ayudaros los unos a los otros)
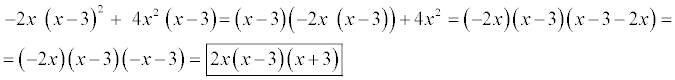
¿Cómo se extrae el máximo factor común aquí? -2x (x-3)2 + 4x2 (x-3)
Yo pienso que la respuesta es esta: 2x (x-3) [(x+3)+2x] pero la respuesta del libro es: 2x(x-3)(x+3). Si el libro no está equivocado ¿por qué? Estoy echa un lío. Muchas gracias.
Como se resuelve (-x+6)2 no me digais que es una identidad notable y me pongais la formula, quiero saber como influye el signo de la ¨x¨. Graciaas