Foro de preguntas y respuestas de Matemáticas

logo beUnicoos
Los foros de unicoos se han unificado en nuestra nueva plataforma beUnicoos. Para dejar nuevas preguntas deberás hacerlo allí, donde además podrás encontrar nuevas asignaturas y herramientas para ayudarte más con tus estudios.

  • icon

    Mario
    el 15/12/16

    Alguien me ayuda  a determinar cuando una funcion es invertible. ( lo de biyectivo y eso, lo tengo medio en duda) pero el profesor aplico unos limites al infito eso puede determinar???


    replythumb_up0 voto/sflag
    icon

    frank
    el 15/12/16

    hola

    Cuando es inyectiva, es decir cuando solo un elemento de la X resulta a un elemento de la Y 
    Ejemplo 
    f(x)=x^2 dominio, (R) 
    no es inyectiva. (Por qué) por que 2 elementos de la X resultan en uno de la Y. en efecto f(2)=4 = f(-2)=4 . 
    Osea f(x) no es invertible. 
    Pero se puede restringir el dominio tal que f(x) sea inyectiva, como (0,infinito). Asi para cada elemento de X resulta uno de Y.

    chau

    thumb_up0 voto/sflag
  • icon

    Bet
    el 14/12/16


    Por qué el trazo FD es bisectriz y y el ángulo FGD es Congruente con FED?

    replythumb_up0 voto/sflag
    icon

    Matías Ignacio Loyola Galdames
    el 15/12/16

    Espero,  no haber sido enredado.



    thumb_up1 voto/sflag
  • icon

    emerson acosta
    el 14/12/16

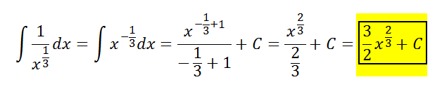
    tengo una duda con esta integral:  

    1/ (x)^1/3 dx


    por que la solución inmediata es: (3(x)^2/3)/2  + C  ?


    replythumb_up0 voto/sflag
    icon

    Antonius Benedictus
    el 14/12/16


    thumb_up1 voto/sflag
    icon

    emerson acosta
    el 15/12/16

    AHHH OK!!! Gracias!!!!

    thumb_up0 voto/sflag
  • icon

    Alex Domínguez
    el 14/12/16

    Hola buenas, como estudio la continuidad una función que me dice esto

    f(x) =( 1+e1/x )/( 1 - e1/x ) donde f(0)=0 y ∀x∈ℛ-(0)

    Y esto último, seria igual que decir x ≠ 0 ? 

    Gracias


    replythumb_up0 voto/sflag
    icon

    Antonius Benedictus
    el 14/12/16


    thumb_up0 voto/sflag
  • icon

    Bet
    el 14/12/16


    Buenas, cómo se puede resolver? Gracias de antemano

    replythumb_up0 voto/sflag
    icon

    Antonius Benedictus
    el 14/12/16


    thumb_up0 voto/sflag
  • icon

    ana
    el 14/12/16

    Hola nececito ayuda con esto se que le b) es correcto y que al a) si le sacas 2√2 te da que 3√8 - √18 =3 √2 y el c) nose

    replythumb_up0 voto/sflag
    icon

    Nico Varela
    el 14/12/16

    Usando identidades notables (x + y)*(x - y)= x- y2 

    Por lo tanto, (√5 + 3)*(√5 - 3) = 5 - 9 = -4

    thumb_up0 voto/sflag
    icon

    Ángel
    el 14/12/16

    El c) es incorrecto porque:

    (√5+3)(√5-3)    Efectuamos la igualdad notable suma por diferencia, diferencia de cuadrados y obtenemos:

    (√5)2-32=-4       Es el resultado de la parte izquierda, al sustituir en la ecuación original nos queda:

    -4=8+6√5 ------------>    -12=6√5   --------->     -2=√5 --------------------> comprobamos que es incorrecto


    Sabiendo que no se cumple la igualdad podríamos sustituir todos los " = " de esta ecuación por " ≠ "   


    thumb_up0 voto/sflag
  • icon

    lbp_14
    el 14/12/16

    Hola Unicoos, 

    Pregunté está duda porque no sabía hacer el problema en el foro y me respondieron esto, no entiendo el último paso, lo que he rodeado en rojo. Es método de igualación o algo así?

    Me lo podrían explicar?

    Muchísimas gracias. 


    replythumb_up0 voto/sflag

    Usuario eliminado
    el 14/12/16

    La ultima parte es una ecuacion, en donde despejando, hallas que L vale aproximadamente 60m.

    thumb_up1 voto/sflag
    icon

    Ángel
    el 14/12/16

    Producto de extremos igual a producto de medios ( o multiplicar en cruz).

    sen26.23*L = 30*sen117.61

    L= (30*sen117.61)/sen26.23 =

    (ponemos la calculadora en modo "deg"), asegurate de que no esté en radianes "rad"

    y obtenemos: L=60.147460.15 metros



    thumb_up1 voto/sflag
  • icon

    ana
    el 14/12/16

    Hola hice estos ejercicios pero no se si estan bien hechos lo de el = para adelante es lo que yo hice  y el último no lo pude hace. Estos los ejercicios son:  Los que hice los hice bien?? si estan mal hechos como los tengo que corregir?? me ayudan con el ultimo??
    a) (x2+3)(x2- 3)= x4 - 9

    b)(x2 - 3)2= (x2 + 3)(x2 - 3 )

    c) (x2- 3)3 =

    replythumb_up0 voto/sflag

    Usuario eliminado
    el 14/12/16

    Estoy seguro que con esto puedes deducir el ultimo, y el segundo esta mal.

    thumb_up0 voto/sflag
    icon

    Ángel
    el 14/12/16

    b) x4 + 9 - 6x2


    c) (x2)3 - 3(x2)2*3 + 3x2*32 -33      =      x6 - 9x4 + 27x2 - 27

    thumb_up0 voto/sflag
  • icon

    Alex Domínguez
    el 14/12/16

    Hola, buenas, tengo una duda sobre continuidad, siempre las funciones a trozos me las dan tipo 0<x<1 por ejemplo, y se refiere que es continua cuando el límite de 0 por la derecha es igual que por la izquierda por ejemplo, pero cuando tengo algo así, x≠0, a que se referiría con esa simbología ? Gracuas

    replythumb_up0 voto/sflag
    icon

    Ángel
    el 14/12/16

    x≠0   quiere decir que x está definida en (-inf,0) U (0,inf). Tendrás que estudiar los límites en el 0


    En la otra que decías (0<x<1) tendrás que estudiarla en el 0 y el 1 

    thumb_up0 voto/sflag
    icon

    Alex Domínguez
    el 14/12/16

    Vale, muchas gracias

    thumb_up0 voto/sflag
    icon

    Alex Domínguez
    el 14/12/16

    Y para que sea continua debe cumplir la igualdad de la función que me diga x=0 y la de x≠0 no ?

    thumb_up0 voto/sflag
    icon

    Ángel
    el 14/12/16

    Se debe cumplir que los límites laterales de f(x≠0) y f(0) coincidan

    thumb_up0 voto/sflag
    icon

    Alex Domínguez
    el 14/12/16

    Entonces, f(0) es la imagen, pero para calcular los límites laterales que debería sustituir por así decirlo, 0 por la derecha que sería , 0,000...1 y por la izquierda -0.99...

    O simplemente hago el límite de f de 0 ? Gracias

    Pongo un ejemplo aquí por si me puede ayudar a entenderlo mejor, gracias

    f(x) =( 1+e1/x )/( 1 - e1/x )

    Gracias de nuevo

    thumb_up0 voto/sflag
    icon

    Ángel
    el 15/12/16

    En general:

    Si coincide el valor de los límites laterales diremos que es contínua y el valor de f(0) es igual que dichos límites

    Si no coinciden, no será contínua


    Para ver que la función sea contínua tienes que verificar que x puede tomar todos los valores en f(x) =( 1+e1/x )/( 1 - e1/x )..., excepto en x=0, que tiene lugar una indeterminación (inf/inf) y hemos de estudiar si los límites laterales coinciden

    (si lo hacen podemos asegurar que es contínua, y lo contrario si no coinciden)

    El límite lateral por la izda se hace sustituyendo x por -0.00000....001 y por la derecha 0.00000....001


    thumb_up0 voto/sflag