Hola tengo dificultades con este ejercicio de geometría analítica no consigo plantearlo.
La hipotenusa de un triangulo rectángulo es el segmento que une (0,0) y (4,0)
a) Determinar la ecuación del lugar geométrico del tercer vértice P
b) Trazar la gráfica del lugar geométrico analizando previamente: intercepciones Y simetrías con respecto a ejes coordenados y extensión de la curva
NO CONSIGO PLANTEARLO POR MAS QUE HAGO EL DIBUJO
De antemano gracias
Buenas tardes quisiera saber si el siguiente ejercicio que escribiré esta bien: 3lx-2l-2>1 caso a) x-2<0 ----> -3lx-2l-2>1
a lo que me refiero que pasa con el -2 que esta restando pasa algo aunque le ponga un - adelante del 3 ?

Tienes la inecuación:
3|x - 2| - 2 >1, haces pasaje de término y queda:
3|x - 2| > 3, multiplicas en ambos miembros por 1/3 (observa que no cambia la desigualdad) y queda
|x - 2| > 1, luego tienes dos opciones:
a) si x - 2 < 0, que conduce a x < 2, entonces la inecuación queda:
-(x - 2) > 1, distribuyes en el primer miembro y queda:
-x + 2 > 1, haces pasaje de término y queda:
-x > -1, multiplicas en ambos miembros por -1 (observa que si cambia la desigualdad) y queda:
x <1,
luego, el intervalo solución para esta opción (cuyos elementos verifican las dos inecuaciones remarcadas) queda: Sa = (-inf,1);
b) si x - 2 ≥ 0, que conduce a x ≥ 2, entonces la inecuación queda:
x - 2 > 1, haces pasaje de término y queda:
x > 3,
luego, el intervalo solución para esta opción (cuyos elementos verifican las dos inecuaciones remarcadas) queda: Sb = (3,+inf).
Luego, el intervalo solución de la inecuación del enunciado queda:
S = Sa u Sb = (-inf,1) u (3,+inf).
Espero haberte ayudado.
(1 0)
Buenas, tenía dudas con estos ejercicios... uno es de una representación gráfica de una funcion, otro de matrices y otro de optimización. Si alguien es capaz de ayudarme lo agradecería, saludos
Buenas tardes, me ayudarían con este ejercicio, pude resolver la primer parte pero cuando me pide que use la misma fórmula para demostrar .....No se como plantear lo.
Gracias

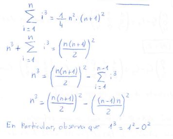
Observa que puedes escribir:
n3 = ∑(i=1,n) i3 - ∑(i=1,n-1) i3 = luego aplicamos la fórmula anterior y queda:
n3 = (1/4)n2(n + 1)2 - (1/4)(n - 1)2n2
Luego observa en el primer término:
a) si n es par, entonces escribimos:
(1/4)n2(n + 1)2 = ( (n/2)(n + 1) )2
que es el cuadrado del número natural (n/2)(n + 1) (observa que n/2 es un número natural)
b) si n+1 es par, entonces escribimos:
(1/4)n2(n + 1)2 = ( n( (n+1)/2 )2
que es el cuadrado del número natural n( (n+1)/2 ) (observa que (n+1)2 es un número natural).
a) si n es par, entonces escribimos:
(1/4)(n - 1)2n2 = ( (n-1)n/2 )2
que es el cuadrado del número natural (n-1)n/2 (observa que n/2 es un número natural
b) sin n-1 es par, entonces escribimos:
(1/4)(n - 1)2n2 = ( ( (n-1)/2 )n )2
que es el cuadrado del número natural ( (n-1)/2 )n (observa que (n-1)/2 es un número natural.
Observa que en el primer término tenemos el cuadrado de un producto de números naturales consecutivos, por lo que uno de ellos es par y el otro es impar, y lo mismo ocurre en el segundo término.
Espero haberte ayudado.
ES una matriz 2x2. Me lo podría resolver? Graciaas
-Estudia para qué valores de ''a'' no existe la matriz A a la inversa:
Hola MG, espero que esto te sirva de ayuda...
Para que no exista una matriz inversa, su determinante debe ser igual a cero, es decir, |A|=0.
Así que calculamos el |A|= a·a-(a2-2)·1=a2-a2+2=2, por lo que las "a" se nos anulan y tenemos que |A|=2, por lo que no existe valor de a perteneciente a los reales para que no exista su matriz inversa. Dicho de otra forma, la matriz A tiene siempre inversa, independientemente de lo que valga "a".
Saludos.