
Yo mejor te dejo la pagina de donde lo ha sacado Maths: https://es.symbolab.com/
Saludos :)
Aporto algunos programas más donde se puede verificar el mecanismo matemático de muchos ejercicios:
http://maxima.sourceforge.net/es/
https://mat.caminos.upm.es/octave/
https://www.wolframalpha.com/ (el que más posibilidades tiene, muy usado en el foro)
hola , puede ayudarme alguien? he probado a hacerlo de distintas formas pero me lio mucho , de momento lo unico que creo que tengo claro es [2sen(x)cos(x)/(cos^2(x)-sen^2(x))] + 2cos(x) pero es que no se como seguir .¿ alguien me ayudas ? gracias
tg 2x +2cosx=0
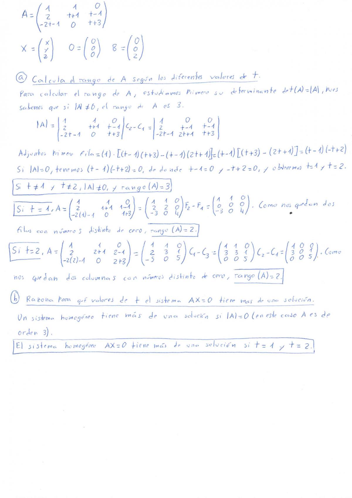
a)El determinante de A (haciendo sarrus) resulta -1 y el determinante de I (matríz identidad) es 1
((la matríz Identidad es de 3x3 con "unos" sólo en la diagonal y lo demás ceros))
Tenemos que A3= -I -----> (-1)3= -(1) ---------> -1= -1
b) A=-1, entonces A100= (-1)100
Como -12= -14= ...... = -1indice par= -1100= 1=A100
Buenas tardes, si podían ayudarme con estos 2 (el 1 y 2) ejercicios de probabilidad, he hecho todas las guias de test de hipotesis, estimadores, y regresión lineal, también vi los videos, pero la verdad es que nose como interpretar este tipo de ejercicios, no son similares a los de la carpeta, gracias! ![]()

Son ejercicios de contraste de hipotesis con los que no puedo ayudarte, lo siento...
No respondo dudas universitarias que no tengan que ver específicamente con los videos que ya he grabado como excepcion. O de otras asignaturas que no sean matemáticas, física y química. Lo siento de corazón… Espero lo entiendas
Ojalá algun unicoo universitario se anime a ayudarte (de hecho lo ideal es que todos los universitarios intentarais ayudaros los unos a los otros)
Hola buenas me podria ayudar alguien con este ejercicio? Sabe alguien donde encontrar ejercicios dificiles como este? He hecho los de unicoos de este tema pero mi profesor los pone algo mas dificiles como este

A partir de las ecuaciones simétricas (o continuas) de la recta r3 (observa que se pueden escribir: x/1 = y/(-1) = z/1), tienes el vector director director de la recta buscada (r): u = <1,-1,1>, ya que ambas rectas son paralelas.
Luego, la recta r corta a la primera recta en un punto (A) que les es común, por lo tanto sus coordenadas quedan planteadas: A(0,k,1), con k número real a determinar.
Hasta aquí, la ecuación vectorial paramétrica de la recta r queda:
r(t) = < 0 + t , k - t , 1 + t > con t ∈ R (*).
Luego, planteamos la intersección de la recta r buscada con la segunda recta del enunciado (r2), para ello igualamos componente a componente las funciones vectoriales y queda el sistema:
0 + t = 2λ - 3
k - t = 1
1 + t = λ (1)
sustituimos la expresión señalada (1) en las otras dos ecuaciones y queda:
t = 2(1 + t) - 3, de donde puedes despejar: t = 1
k - t = 1
luego reemplazas el valor señalado (2) en la segunda ecuación, despejas y queda: k = 2,
luego reemplaza en la ecuación señalada (1) y tienes: 2 = λ.
Luego, reemplazas en la expresión de la función vectorial paramétrica de la recta r, señalada (*) y queda:
r(t) = < 0 + t , k - t , 1 + t > con t ∈ R.
Luego, las coordenadas del punto de intersección entre la recta r y la primera recta son: A(0,2,1).
Luego, para las coordenadas del punto de intersección entre la recta r y la segunda r reemplazas:
en la ecuación vectorial de la recta r: r(1) = < 1 , 1 , 2 >, que corresponde al punto de coordenadas: B(1,1,2), y verificas
en la ecuación vectorial de la segunda recta: r2(2) = < 1 , 1 , 2), que también corresponde al punto B.
Espero haberte ayudado.
Hola tengo una duda de universidad. Es de integrales dobles usando coordenadas polares. Si me pueden ayudar se los agradecería.
Calcular, usando coordenadas polares ∫∫D sen(x2+y2) dA donde D es la región en el primer cuadrante comprendida entre las circunferencias con centro en el origen y radios 1 y 3.

Los límites de integración (región de integración) son: 1 ≤ r ≤ 3, 0 ≤ θ ≤ π/2, y el factor de compensación (Jacobiano) es: |J| = r. Luego, la integral queda:
I = ∫∫D sen(x2 + y2) dA = ∫∫D sen(r2) r dr dθ, luego, la integral para r la puedes plantear por medio de la sustitución: w = r2.
Luego, puedes continuar la tarea, y si te es necesario, no dudes en volver a consultar.
Espero haberte ayudado.
hola, como resuelvo este ejercicio? expresar en forma binomica (1+i)^100

Comienza por expresar al número complejo z = 1 + i en forma polar (mira los vídeos del tema), lo haces y queda: z = ( √(2) )45°.
Luego, plantea la potencia del número complejo:
z100 = (1 + i)100 = ( ( √(2) )45° )100 = aplicas la Fórmula de De Moivre para las potencias:
= ( ( √(2) )100 )100*45° = simplificas raíz y potencia en el módulo, resuelves el argumento y queda:
= ( 250 )4500° = dividimos el argumento por 360°, conservamos el resto y queda:
= ( 250 )180° .
Luego puedes expresar al número complejo en forma trigonométrica y queda:
z100 = 250 (cos180° + i sen180°) = resolvemos = 250 (- 1 + 0 i ) = - 250.
Una forma alternativa es expresar al número complejo con potencias sucesivas:
(1 + i)100 = (1 + i)2*2*25 = ( (1 + i)2 )2*25 = ( 1 + 2i + i2 )2*25 = ( 1 + 2i - 1 )2*25 =
= ( 2i )2*25 = ( ( 2i )2 )25 = ( 4*i2 )25 = ( 4*(-1) )25 = 425*(-1)25 = (22)25*(-1) = 22*25*(-1) = 250*(-1) = - 250.
Espero haberte ayudado.