Si considerammos un conjunto A incluido en C (complejos)
resp cfa: centro (1,0) radio 1.
me pide el plano complejo de este conjunto.
llegue a esto:
x^2 +y^2 = 2x -------- x^2 -2x + y^2 =0
sacando factor x.------ x(x-2) y^2 = 0
me queda cfa centro 2, 0 radio 0 lo cual no puede ser es absurdo.
alguien me ayuda a ver el problema
Es así. Porque un numero dividido por otro muy muy grande (como lo es el inifito) da cero. Entonces cuando le aplicas el límite a 6/n3 por ejemplo, da cero. Y lo mismo pasa con todos los términos que tienen la variable en el denominador.
6/n3
7/n5
8*1/n6
6/n10
Si a todos esos le aplicas el limite de n que tiede a infinito dan 0.
Espero haberte ayudado.
Hola, no se cómo resolver este ejercicio usando coordenadas polares. Si alguien lo puede resolver y explicar se lo agradecería. Desde ya muchas gracias.

Me encantaría ayudarte, pero no respondo dudas universitarias que no tengan que ver específicamente con los videos que ya he grabado como excepcion. O de otras asignaturas que no sean matemáticas, física y química. Lo siento de corazón… Espero lo entiendas
Ojalá algun unicoo universitario se anime a ayudarte (de hecho lo ideal es que todos los universitarios intentarais ayudaros los unos a los otros)
Buenos días.
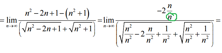
Esto es una indeterminación, del a cual, me gustaría que me aclarasen algún unicoos el paso algebraico donde el numerador n^2 - 2n +1- (n^2+1) yo lo calcularía a n^2 - 2n +1 -n^2 +1 y queda -2n pero en el numerador del siguiente resultado queda - 2 n/n puede alguien aclararme esto. Gracias

Observa que si la expresión de la función es: f(x,y) = ex^2 + y^2, tienes que el punto de coordenadas P0(0,1,e) pertenece a la gráfica de la función (observa en tu imagen, pareciera que el término y2 no forma parte del exponente, lo que seguramente es un problema de impresión del apunte).
A) Observa que la función es diferenciable en R2, por ser composición de funciones diferenciables. Luego, planteamos las derivadas parciales, y las evaluamos para la abscisa y la ordenada del punto:
fx(x,y) = 2x*ex^2 + y^2, que evaluada queda: fx(0,1) = 0,
fy(x,y) = 2y*ex^2 + y^2, que evaluada queda: fy(0,1) = 2e,
luego, planteamos la ecuación del planto tangente en el punto indicado:
z = f(0,1) + fx(0,1)*(x - 0) + fy(0,1)*(y - 1),
reemplazamos y queda:
z = e + 0*(x - 0) + 2e*(y - 1),
cancelamos el término nulo, distribuimos, reducimos términos semejantes y queda.
z = 2e*y - e,
hacemos pasajes de términos y llegamos a:
-2e*y + z + e = 0, que es una ecuación cartesiana implícita del plano tangente buscado.
B) Planteamos la ecuación de la familia de curvas de nivel:
f(x,y) = k, con k ∈ R, sustituimos la expresión de la función y queda:
ex^2 + y^2 = k,
y observa que la expresión del primer miembro es estrictamente positiva, por lo que tenemos: k > 0 (1).
Luego tomamos logaritmo natural en ambos miembros y queda:
x2 + y2 = lnk (*),
que es la ecuación de una familia de circunferencias con centro en el origen de coordenadas, y radio R = √(lnk), por lo que tenemos que los valores de k cumplen con la condición:
lnk ≥ 0
componemos con la función inversa del logaritmo natural y queda:
k ≥ e0,
resolvemos y queda la condición: k ≥ 1 (2).
Luego, los valores de k que cumplen las condiciones señaladas (1) (2) son los que son mayores o iguales que uno, por lo que tenemos que la imagen de la función es el intervalo: I = [1,+inf).
Luego, para la curva de nivel que pasa por el punto de coordenadas A(-1,1), reemplazamos en la ecuación de la familia de curvas de nivel de la función, señalada (*) y queda:
(-1)2 + (1)2 = lnk,
resolvemos el primer miembro y queda: 2 = lnk, luego reemplazamos en la ecuación señalada (*) y queda:
x2 + y2 = 2, que es la ecuación de la curva de nivel de la función que pasa por el punto de coordenadas A(-1,1).
Solo queda que hagas los gráficos.
Espero haberte ayudado.
La suma de todos los productos de cinco en cinco de los numeros del 1 al 6 acaba en?
Sea cual sea la elección que tomemos, acabará en 0, porque 5*2, 5*4, 5*6 acaba en cero, y al multiplicarlo por cualquier otro/s número/s acabará en cero
Excepto en la elección que no cojamos el 5 (1*2*3*4*6=144), que acaba en 4
Para acabar, sumamos todos los ceros más el 4 y resulta que "la suma de todos los productos de 5 en 5 de los números del 1 al 6 acaba en 4"
2016 es multiplo de 16 ¿cuantos numeros de la forma 2000+b, con b natural y menor que 1000, son divisibles por b?

Observa que tienes: 2000 = 24*53 por lo tanto, si b es producto de factores 2 o 5, con exponentes menores o iguales que 4 y 3 respectivamente, tendrás que 2000 + b es múltiplo de b.
Veamos las opciones para b:
1) si tiene un único factor primo, tienes:
a) b = 2 (2000 + 2 = 2002 es múltiplo de 2)
b) b = 5 (2000 + 5 = 2005 es múltiplo de 5)
2) si tiene dos factores primos, tienes,
a) b = 2*2 = 4 (2004 es múltiplo de 4)
b) b =2*5 = 10 (2010 es múltiplo de 10)
c) b = 5*5 = 25 (2025 es múltiplo de 25)
3) si tiene tres factores primos, tienes:
a) b = 2*2*2 = 8 (2008 es múltiplo de 8)
b) b = 2*2*5 = 20 (2020 es múltiplo de 20)
c) b = 2*5*5 = 50 (2050 es múltiplo de 50)
d) b = 5*5*5 = 125 (2125 es múltiplo de 125) (observa que hemos empleado todos los factores 5 en este caso)
4) si tiene cuatro factores primos, tienes:
a) b = 2*2*2*2 = 16 (2016 es múltiplo de 16, es el caso del ejemplo, y observa que hemos empleado todos los factores 2 en este caso)
b) b = 2*2*2*5 = 40 (2040 es múltiplo de 40)
c) b = 2*2*5*5 = 100 (2100 es múltiplo de 100)
c) b = 2*5*5*5 = 250 (2250 es múltiplo de 250, y observa que hemos empleado todos los factores 5 en este caso)
5) si tiene cinco factores primos, tienes:
a) b = 2*2*2*2*5 = 80 (2080 es múltiplo de 80, y observa que hemos empleado todos los factores 2 en este caso)
b) b = 2*2*2*5*5 = 200 (2200 es múltiplo de 200)
c) b = 2*2*5*5*5 = 500 (2500 es múltiplo de 5, y observa que hemos empleado todos los factores 5 en este caso)
6) si tiene seis factores primos, tienes.
a) b = 2*2*2*2*5*5 = 400 (2400 es múltiplo de 400, y observa que hemos empleado todos los factores 2 en este caso)
b) b = 2*2*2*5*5*5 = 1000 (que no consideramos, porque b debe ser menor que 1000 según el enunciado, y observa que hemos empleado todos los factores 5 en este caso)
7) si tiene siete factores primos, tienes.
a) b = 2*2*2*2*5*5*5 = 2000 (que no consideramos, porque b debe ser menor que 1000 según el enunciado, y observa que hemos empleado todos los factores 2 y 5 en este caso).
Espero haberte ayudado.
Que tal amigos. estuve realizando la demostración de este límite según sus vídeos pero el profesor no me acepto de esa forma. Así que me indicaron de esta manera. quería saber si es correcto lo que estoy haciendo.
Gracias
opcion es alfa es 2, beta es: e y gamma es 1/2
llegua aplicando limite de continuidad a L(βφ)= 1 con lo cual βφ= e
y tambien aplicando derivabilidad (los limites) pero sin aplicar definicion de derivada, a que ∝= 1/φ
pero no logro sacar los valores.
que me faltaria??

Vas muy bien.
Al estudiar la continuidad de la función en x = 0 has llegado a la ecuación: β•γ = e.
Al estudiar los límites de las derivadas laterales para x tendiendo a 0 has llegado a la ecuación: α = 1/γ.
Luego tienes el sistema de ecuaciones (observa que tienes dos ecuaciones y tres incógnitas, por lo que podrás despejar dos incógnitas a lo sumo):
β•γ = e
α = 1/γ
haces pasajes de factores en la segunda ecuación y tienes (observa que α y γ no pueden tomar el valor cero):
γ = 1/α (1)
luego sustituyes en la primera ecuación y queda:
β/α = e, de donde puedes despejar:
β = e•α (2).
Luego, el sistema tiene infinitas soluciones, que quedan expresadas:
α ∈ (0,+inf) (*)
β = e•α
γ = 1/α
(*) Observa que si α toma valores negativos, tienes que β y γ también toman valores negativos, y la expresión del segundo trozo no es válida para todo número real x estrictamente mayor que cero, como indica la definición de la función.
Luego, puedes verificar cuál de las ternas cumple con las condiciones remarcadas.
Espero haberte ayudado.