Buenos días, primero quiero agradecer a Antonio Silvio por su ayuda, pero lo que no entendí es porque 100.3^100-80.3^80, no debería ser i=100.101/2? Gracias ![]()

Observa que la expresión de la sumatoria del enunciado te dice que es igual a n*3n, de ahí que evaluada para n = 100 queda 100*3100 y para n = 80 queda 90*380, que son los términos que componen la respuesta al problema.
Luego, observa la sumatoria siguiente:
∑(i=1,n) i = 1 + 2 + 3 + ... + (n-1) + n = n*(n+1)/2
por ejemplo, para n = 100 toma el valor:
∑(i=1,100) i = 1 + 2 + 3 + ... + 99 + 100 = 100*101/2 = 5050.
Observa que la sumatoria del enunciado de tu problema no es la que hemos mostrado en este último ejemplo.
Espero haberte ayudado.
Cuando calculamos el rango de una matriz 3x4...
El rango de es matriz tiene que ser mayor o igual que uno puesto que uno o más de los números son distintos a 0.
También, el rango, tiene que ser menor que 4 ya que no podemos hacer un determinante de 4x4 basados en esa matriz.
Cuando haces el segundo determinante (3x3) y el resultado es 2 dices que el rango es mayor o igual que 2, pero eso es porque el determinante te ha dado 2 o porque simplemente el determinante es distinto de 0 y ya por tanto, automáticamente se dice que el rango es mayor o igual que 2?

El rango de esa matriz es 3, pues hay un menor (determinante dentro de ella) de orden 3 distinto de 0 y no hay menores de orden 4.
Te recuerdo que el rango de una matriz es el máximo número de filas (y de columnas) linealmente independientes. O, lo que es lo mismo: el orden máximo de sus menores no nulos.
Una ayuda para hallar las fracciones parciales de lo siguiente por favor. Como lo descompongo. Gracias

Va una ayuda. Si debes resolver la integral de la función cuya expresión es: f(s) = 1 / s3/2(s-1), puedes comenzar por plantear la sustitución:
s = w2, de donde tienes: ds = 2wdw, luego sustituyes y la integral queda:
I = ∫ ( 1 / s3/2(s-1) ) ds = ∫ ( 1 / w3(w2-1) ) 2wdw = 2 ∫ ( 1 / w2(w+1)(w-1) ) dw, y luego puedes continuar con el método de las fracciones simples.
Espero haberte ayudado.
Hola buenas noches, tengo un par de ejercicios matemáticos que no eh podido resolver, específicamente de probabilidad. Les agradecería mucho si me pudieran ayudar.![]()
![]()

Me encantaría ayudarte, pero no respondo dudas universitarias que no tengan que ver específicamente con los videos que ya he grabado como excepcion. O de otras asignaturas que no sean matemáticas, física y química. Lo siento de corazón… Espero lo entiendas
Ojalá algun unicoo universitario se anime a ayudarte (de hecho lo ideal es que todos los universitarios intentarais ayudaros los unos a los otros)
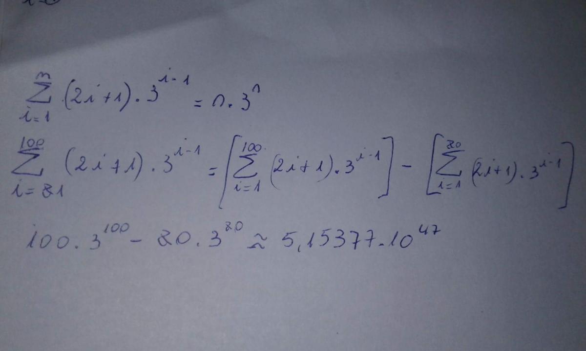
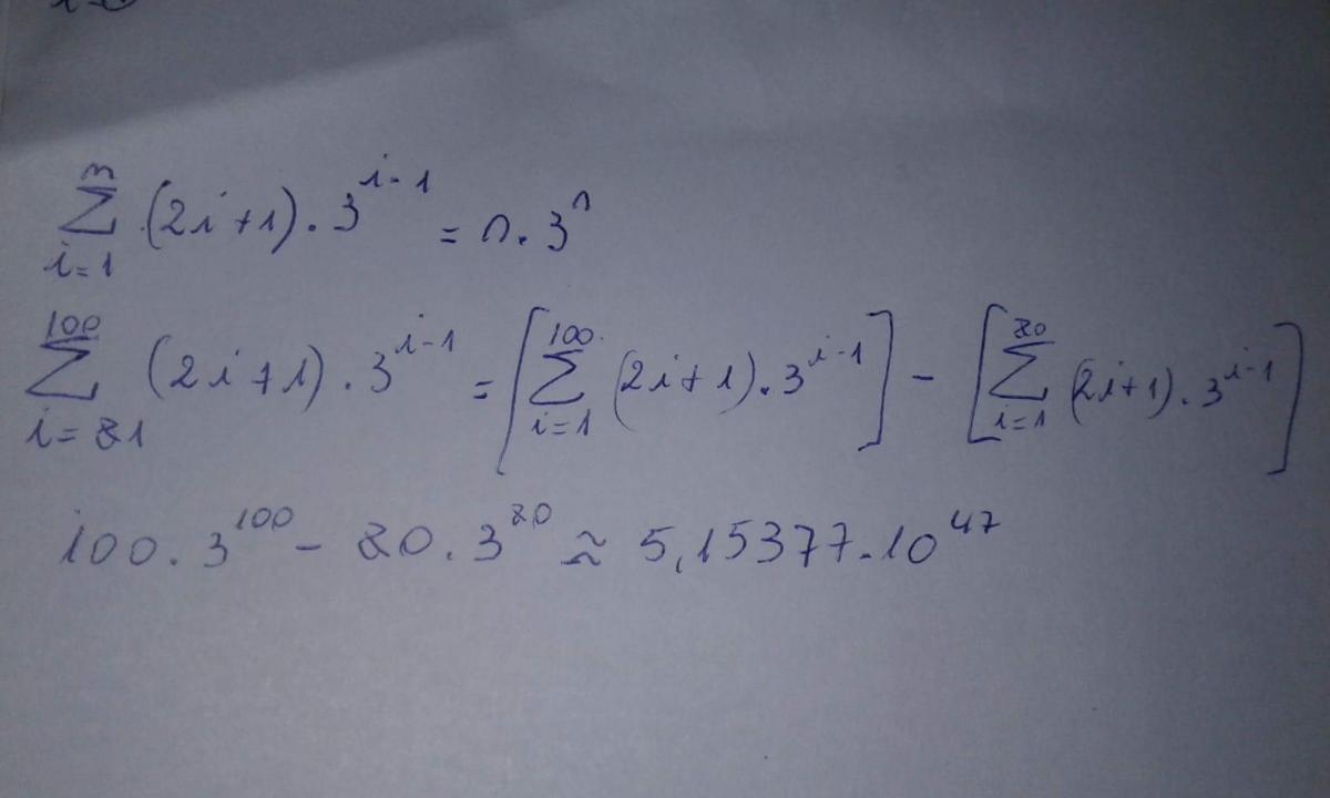
Buenas noches, me dieron este ejercicio en un examen que pide que utilice la primer formula para demostrar lo segundo, no entiendo que hizo, alguien me puede explicar resumidamente? Gracias ![]()

Lo que se hizo es "completar sumatoria", para lo que se agregó sumando y restando un término, y luego se asociaron dos términos.
Tienes como dato: ∑(i=1,n) (2i+1)*3i-1 = n*3n (1)
Luego, te piden que resuelvas la siguiente sumatoria:
∑(i=81,100) (2i+1)*3,i-1
y observa que no puedes aplicar la ecuación señalada (1) porque en esta sumatoria se empieza a contar i desde 81, por lo que te faltan todos los términos desde i = 1 hasta 80, por lo tanto escribe:
∑(i=81,100) (2i+1)*3,i-1 = ( + ∑(i=1,80) (2i+1)*3i-1 + ∑(i=81,100) (2i+1)*3,i-1 ) - ∑(i=1,80) (2i+1)*3i-1
observa que los términos remarcados son opuestos, luego asocia los dos primeros términos en una sola sumatoria y queda:
∑(i=81,100) (2i+1)*3,i-1 = ∑(i=1,100) (2i+1)*3i-1 - ∑(i=1,80) (2i+1)*3i-1
luego observa que en las dos sumatorias del segundo miembro puedes aplicar la ecuación señalada (1), porque en ambas sumatorias se empieza a contar desde i = 1, pero hasta n = 100 para la primera, y hasta n = 80 para la segunda; luego aplicas la ecuación señalada (1) para cada término y queda:
∑(i=81,100) (2i+1)*3,i-1 = 100*3100 - 80*380= 20*380*(5*320 - 4).
Espero haberte ayudado.
Hola comunidad de Unicoos:
Tengo un problema de Álgebra Lineal, es acerca de Cambio de base ---------->

Te sugiero estos vídeos que grabé como excepción....ALGEBRA Matriz de Cambio de Base 01
A partir de ahí, me encantaría ayudarte, pero no respondo dudas universitarias
que no tengan que ver específicamente con los videos que ya he grabado como
excepcion. O de otras asignaturas que no sean matemáticas,
física y química. Lo siento de corazón… Espero lo
entiendas
Ojalá algun unicoo universitario se anime a ayudarte (de hecho lo ideal es que todos los universitarios intentarais ayudaros los unos a los otros)

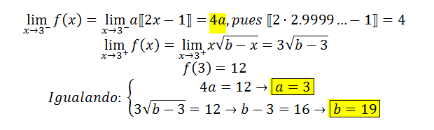
¿Has visto estos vídeos?... Continuidad de una función
A partir de ahí, se trata de que DESPUES DE IR A CLASE (ver los vídeos
relacionados con vuestras dudas) enviéis dudas concretas, muy concretas. Y que
nos enviéis también todo aquello que hayais conseguido hacer por vosotros
mismos. Paso a paso, esté bien o mal. No solo el enunciado. De esa manera
podremos saber vuestro nivel, en que podemos ayudaros, cuales son vuestros
fallos.... Y el trabajo duro será el vuestro. Nos cuentas ¿ok? #nosvemosenclase
;-)