Hola Unicoos, me podeis ayudar con este problema de geometría plana; por más que lo intento me da una raiz negativa:
-Dados los puntos A(3,4) B(-3,6) y C(-2,m), calcula el valor de m para que el triángulo ABC tenga 6 u2 (unidades cuadradas) de área.
Gracias
Hola de nuevo Unicoos,
No sé plantear ni resolver bien este problema, me podrían ayudar paso a paso?
Muchísimas gracias
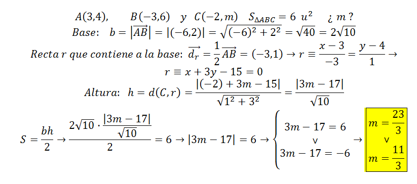
Hola. A ver si podemos echarte una mano. En primer lugar, hay que replantear bien el ejercicio, que sería algo así.
Ahora solo queda resolverlo...
En primer lugar, pasamos el ángulo de sexagesimal a grados. 23' (1º/60') = 0,38º, por lo 26º23' = 26,38º
Ahora con los datos que tenemos, aplicamos el Teorema del coseno.
302=402+x2-2·40·x·cos26,38
900=1600+x2-71,67x0=x2-71,67x+700
x1=60m; x2=11,67m
Por lo que tenemos dos soluciones, 60m y 11,67m
A continuación te pongo videos de referencia por si necesitas ver algo más.
Decimal a Sexagesimal - Grados minutos segundosTrigonometria -Teorema del cosenoNo tienes más que aplicar el teorema del coseno, conoces dos lados y el ángulo opuesto al lado desconocido.
x2=102+122-2·10·12·cos120, y x te da x=19,70 km
Aquí tienes el video.
Trigonometria -Teorema del cosenoHola, me podríais decir cómo puedo comprobar si una matriz es ergódica, de manera general?
Y en concreto de esta matriz:
0.5 0.5 1
0 0.5 0
0.5 0 0
Muchas gracias!!

Me encantaría ayudarte, pero no respondo dudas universitarias que no tengan que ver específicamente con los videos que ya he grabado como excepcion. O de otras asignaturas que no sean matemáticas, física y química. Lo siento de corazón… Espero lo entiendas
Ojalá algun unicoo universitario se anime a ayudarte (de hecho lo ideal es que todos los universitarios intentarais ayudaros los unos a los otros)
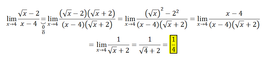
Hola, mañana tengo el examen final de matemáticas y no sé muy bien cómo solucionar el lim x→4 (√x) -2/x-4 Sé que es de 0/0 pero no me da ningún resultado concreto, no sé qué estoy haciendo mal. Ayuda por fa
Buenas!! A mí me enseñaron a resolver ese tipo de indeterminaciones a través de la regla de L'Hôpital y es bastante sencillo la verdad, consiste en derivar la función abajo y arriba de manera independiente es decir: lim x->a f'(x)/g'(x) siendo "a" cualquier número. Lo debes aplicar las veces que sea necesario hasta eliminar la indeterminación, en este caso solo es una.
A ver si podemos ayudarte.
Llamemos el determinante del enunciado |A|=1. Lo que hay que conseguir es que el determinante quede igual que el del enunciado aunque podamos sacar factores fuera.
a) podemos hacer factor común a la primera fila y sacar el 3 fuera del determinante, así nos quedaríamos 3|A|=3·1=3. Solución. 3
b) podemos hacer factor común a la primera fila y sacar el 5 fuera del determinante.
Ahora podemos introducir ese 5 en la segunda fila para asemejar la matriz que está dentro del determinante, y así nos quedaríamos con un determinante igual al del enunciado. Como sacamos un 5 al hacer factor común y lo volvimos a meter en el determinante, nos quedamoscon la misma matriz que la del enunciado, por lo que la Solución. 1
Hola tengo una duda de universidad. Es sobre curvas de nivel, si alguen me podria ayudar se los agradecería. Ya hice el inciso a (espero este bien).

Para que podamos ayudarte, por favor verifica que estén correctas las coordenadas del punto, porque el que consta en el enunciado (0,1,e) no pertenece a la gráfica de la función (observa que si evalúas la expresión para las coordenadas del punto: x = 0, y = 1, corresponde el valor: z = 2).