Buenos días,
Tengo dos cuestiones que no sé por dónde cogerlas para nada,
1 ¿Es posible extender por continuidad, en x=0, la función f(x)= (e elevado a 1/x + e elevado a 1/x) / (e elevado a 1/x - e elevado a 1/x)?
2 ¿Es posible extender por continuidad, en x=-2, la función f(x)= arc ctg (1/x+2)?
¡Muchas gracias!
Hola buenos días.
Estoy en 3º , acabo de empezar con las sucesiones y no entiendo nada.Me podéis ayudar?
Grafique la función cuadrática f(x) = ½ χ²−1 tabulando:
x
f(x)
-4
-3
-2
-1
0
1
2
3
4

Simplemente sustituye x por esos valores... Por ejemplo, para x=-4.... f(-4)=½ (-4)²−1= ½ .16−1=8-1=7...
Te sugiero además, Representacion funcion cuadratica
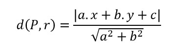
Calcular el área de un triángulo cuyos vértices son: A = (4; -3) ; B = (-4; -1) y C = (3; 3). En el plano cartesiano.

Se ve que eres nuevo en la pag. generalmente se explica qué del ejercicio no entendés, no solo se lo coloca y que lo resuelvan... voy a explicar como se debe resolver este pero no lo voy a resolver por completo.
Para empezar tenemos 3 puntos A, B y C
Entonces debemos utilizar la siguiente fórmula que es para calcular la distancia entre 2 puntos:
Lo único que hay que hacer es reemplazar en cada uno las coordenadas de cada punto y nos dara el valor de la distancia entre cada punto, ¿qué son P1 y P2? son puntos generalizados nada más, es decir, vos podes tomar cualquiera de los puntos como P1 y cualquiera de los puntos como P2
Si tomamos A= P1 y B=P2
La distancia de A a B se encontraría así:
d(A, B)= √[(-4-4)^2 +(-1-(-3))^2]= √[(-8)^2 +(2)^2]= √[(-8)^2 +(2)^2]= √[64 +4]= √68 ≅ 8,25
Si queres que sea exacto tenés que dejarlos como raices a las distancias.
Esa distancia es un segmento es decir el segmento AB ≅ 8,25
Tenés que hayar los 2 segmentos restantes y ya tendrás los 3 lados...
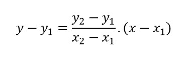
Una vez que tengas el largo de los 3 segmentos, vas a tener que encontrar la fórmula de uno de estos tomando por ejemplo los puntos que ya hemos utilizado con la siguiente fórmula de la ecuación de la recta conociendo dos puntos
A = {x Î Z / -3 ≤ x < 3}
B = {x Î Z / 1 ≤ x ≤ 5}
Se define: R = {(x; y) Î A x B / x + y = 2}
a) Determinar por extensión la Relación R de
A en B.
b) Determinar el dominio y el rango de R.

Me encantaría ayudarte, pero no respondo dudas universitarias que no tengan que ver específicamente con los videos que ya he grabado como excepcion. O de otras asignaturas que no sean matemáticas, física y química. Lo siento de corazón… Espero lo entiendas
Ojalá algun unicoo universitario se anime a ayudarte (de hecho lo ideal es que todos los universitarios intentarais ayudaros los unos a los otros)

Debes formar un conjunto de pares ordenados (x,y), con x perteneciente al conjunto A, y perteneciente a B, y tal que x más y sumen 2. Lo haces y tienes:
A = { -3, -2, -1, 0, 1, 2}
B = {1,2, 3, 4, 5}
Luego, el conjunto gráfica de la relación R queda:
R = {(-3,5), (-2,4), (-1,3), (0,2), (1,1)].
Luego, el Dominio de la relación (conjunto formado por las primeras componentes de los pares ordenados) es: D = {-3, -2, -1, 0, 1},
y la imagen (conjunto formado por las segundas componentes de los pares ordenados) es I = {1, 2, 3, 4, 5].
Espero haberte ayudado.
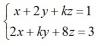
Hola he buscado en varios lugares y no se cómo se puede resolver el siguiente planteamiento... no se si se debe utilizar reducción o que se debería usar porque Gauss creo que no se puede... desde ya muchas gracias!!
Determinar los valores de k tales que el sistema con las incógnitas x, y, z. Tenga: a) Una solución única. b) Ninguna solución. c) Más de una solución.

Observa que tienes dos ecuaciones y tres incógnitas. Luego, la matriz ampliada del sistema queda:
1 2 k 1
2 k 8 3
A la fila 2 le restas el doble de la fila 1 y queda:
1 2 k 1
0 (k-4) (8-2K) 1
Luego tienes dos casos: a) k = 4, b) k ≠ 4.
a) Reemplazas y queda:
1 2 4 1
0 0 0 1
Luego, tienes que el sistema es incompatible (observa que el rango de la matriz es 1, y que el rango de la matriz ampliada es 2) y no tiene solución.
b) Si k ≠ 4 tenemos la matriz ampliada:
1 2 k 1
0 (k-4) (8-2k) 1
y observa que el determinante formado por los elementos remarcados es distinto de cero, por lo que tienes que el rango de la matriz y y el rango de la matriz ampliada son iguales a 2, y el sistema resulta compatible indeterminado, y admite infinitas soluciones.
Luego, planteas el sistema equivalente (recuerda que consideramos que k es distinto de 4).
x + 2y + kz = 1
(k-4)y + (8-2K)z = 1, de donde despejas: y = ( 1 - (8-2k)z )/(k-4)
luego, despejas x en la primera ecuación, reemplazas la expresión de y, y queda:
x = 1 - 2( 1 - (8-2k)z )/(k-4) - kz.
Luego, las soluciones quedan expresadas: x = 1 - 2( 1 - (8-2k)z )/(k-4) - kz, y = ( 1 - (8-2k)z )/(k-4), z ∈ R (solo queda que operes para reducir la expresión para x).
Espero haberte ayudado.

Me encantaría ayudarte, pero no respondo dudas universitarias que no tengan que ver específicamente con los videos que ya he grabado como excepcion. O de otras asignaturas que no sean matemáticas, física y química. Lo siento de corazón… Espero lo entiendas
Ojalá algun unicoo universitario se anime a ayudarte (de hecho lo ideal es que todos los universitarios intentarais ayudaros los unos a los otros)