Hola buenas, querría que me ayudasen a multiplicar √x/(√x-√(x-1)), puesto que aunque hay una gran parte que consigo realizar, no puedo eliminar el denominador como me piden. Muchas gracias por su atención.

Tienes la expresión:
A = √x / ( √x - √(x - 1) ), multiplicas y divides por la expresión "conjugada" del denominador y queda:
A = ( √x ( √x + √(x - 1) ) ) / ( √x - √(x - 1) )*(√x + √(x - 1) ),
distribuimos en el numerador y en el denominador (observa que tenemos cancelaciones de términos en el denominador) y queda:
A = ( x + √x √(x - 1) ) / ( x - (x - 1) ), distribuimos el segundo término del numerador, resolvemos el denominador y queda:
A = ( x + √( x(x - 1) ) / 1 = x + √( x(x - 1) ).
Espero haberte ayudado.
Buenas resolvimos esta integral pero no entiendo porque se hace el sistema que les muestro subrayado en la foto.
Me pueden ayudar?

Observa que la expresión: x2 - x + 1 no tiene raíces reales, por lo que planteamos:
x2 - x + 1 = (x - a)2 + b2, donde debemos determinar los valores de las constantes a y b, para ello desarrollamos el segundo miembro y queda:
x2 - x + 1 = x2 - 2ax + a2 + b2
luego comparamos coeficientes término a término, y tenemos:
1 = 1 para los términos cuadráticos
- 1 = - 2a para los términos lineales
1 = a2 + b2 para los términos costantes
luego, de la segunda ecuación despejamos: a = 1/2,
luego reemplazamos en la tercera ecuación y queda:
1 = (1/2)2 + b2, de donde despejamos: b2 = 3/4.
Luego, el denominador del argumento de la integral queda:
x2 - x + 1 = (x - 1/2)2 + 3/4.
Espero haberte ayudado.
Hola, no sé como resolver este problema, es que no sé bien por dónde cogerlo para empezar... tengo que aplicar teorema de Bolzano, si me ayudáis al menos con una pista os lo agradezco...
Un escalador comienza desde un punto determinado ''A'' a subir una montaña el domingo a las siete de la mañana y alcanza la cima ese mismo día a las veinte horas. Acampa en la cima y el lunes a alas siete de la mañana comienza a bajar llegando al mismo punto ''A'' de partida a las veinte horas. Demuestra que existe una determinada hora a lo largo del lunes en donde el escalador se encuentre a la misma altura que en dicha hora de domingo.
(((((((((((Por si sirve, me han ayudado a plantearlo (que no se si está bien) como si la función g: [0,T] -> |R indicase la posición del escalador en el tiempo t ∈ [0,T] y me han dicho que a partir de ahí tratase de aplicar el teorema de Bolzano a la función definida por h(x)=g(x)-g(T-x) pero la verdad que no sé qué hacer...)))))))))))))))
Gracias!!
Hola!
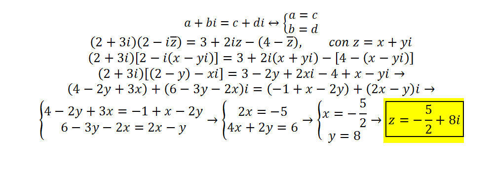
Estoy estudiando para un examen y me he quedado bloqueada en medio de una resolución de una ecuación con números complejos.
El enunciado es el siguiente:
Resuelve la ecuación: (2+3i)*(2-1*ž) = 3+2iz-(4-ž), donde z=x+iy (x,y reales) es un número complejo y ž designa el conjugado del número z.
Lo primero que he hecho es sustituir z y ž(ž=x-iy) y resolver paso a paso hasta llegar a un punto donde no sé cómo despejar el resultado. Dejo mi procedimiento en la imagen.
Gracias!
Hola chicos unicoos. Me podrían de ayudar con una interación.
Espero vuestra ayuda. Saludos (ya intent x la integracion x parte, me parece q es )
∫ ln(√x-x) dx

Planteamos el método de integración por partes:
u = ln(√x - x), de donde tenemos: du = ( 1/(√x - x) )*( 1/(2√x) - 1)dx = ( ( 1/(√x - x) ) * ( 1 - 2√x )/(2√x) ) dx = ( (1 - 2√x)/( 2√x (√x - x) ) ) dx
dv = dx, de donde tenemos: v = x.
Luego pasamos a la resolución:
I = u*v - ∫ v*du, sustituimos y queda:
I = x*ln(√x - x) - ∫ ( x * (1 - 2√x) / ( 2√x *(√x - x) ) ) dx (1).
Luego, aplicamos la sustitución (cambio de variable):
x = w2, de donde tienes: dx = 2w*dw, y también tienes: √x = w,
luego sustituimos en la integral remarcada (I1) y queda:
I1 = ∫ ( w2 * (1 - 2w) / ( 2w*(w - w2) ) ) 2w*dw,
simplificamos el factor 2w y queda:
I1 = ∫ ( w2 * (1 - 2w) / (w - w2) )*dw
factorizamos el denominador en el argumento y queda:
I1 = ∫ ( w2 * (1 - 2w) / w*(1 - w) )* dw
simplificamos y queda:
I1 = ∫ ( w * (1 - 2w) / (1 - w) )* dw
y queda para que continúes la tarea (observa que deberás distribuir en el numerador, luego dividir por el denominador, y quedarán integrales directas), y luego, para finalizar, deberás sustituir en la expresión señalada (1).
Espero haberte ayudado.
¿Hay algun tutorial sobre funciones lineales? ¿Donde lo busco? Gracias.
Hola buenos dias! Tendria una pregunta sobre el tema de espacios vectoriales y sistemas generadores, pueden ser 2 vectores, por ejemplo, (-1,1,2) y (1,2,1) sistema generador de R3? O hace falta que para que sea sistema generador de R3 halla como minimo 3 vectores? El ejemplo que he puesto es uno cualquiera para que quedara mas claro, no justamente ese. Espero haberme explicado y un saludo ^^

Un conjunto generador de R3 debe tener como mínimo tres vectores linealmente independientes.
Si tiene exactamente tres vectores, y los tres vectores son linealmente independientes, se dice que el conjunto generador es una base de R3.
Y si tiene más de tres vectores, pero entre ellos hay tres que son linealmente independientes, se dice que el conjunto es gnerador (a secas) de R3.
Con los dos vectores que propones no se puede generar al espacio vectorial R3, pero si se puede generar un subespacio vectorial de R3.
Espero haberte ayudado.
Hola unicoos, buen día. Les pido de la manera más coordial vuestra ayuda, con una integral indefinida que no logro resolver. Gracias de antemano.
∫ (t+√t) dt De la manera mas simplificada por favor, muchas gracias de antemano equipo unicos.By: Toby
Observa que puedes escribir antes de integrar:
I = ∫ (t + √t) dt = expresas el segundo término como potencia con exponente fraccionario:
= ∫ (t + t1/2) dt = separas en términos:
= ∫ t dt + ∫ t1/2 dt = integras:
= t2/2 + t3/2/(3/2) + C = resuelves el coeficiente en el segundo término:
= t2/2 + 2 t3/2/3 + C.
Espero haberte ayudado.