Una empresa dedicada a la fabricación de cables eléctricos emplea para hacer su producto sólo dos materias primas,plástico y cobre.Los pedidos de ambas se realizan de forma quincenal.Para la próxima quincena la demanda prevista es de 250.000 metros de cable .Cada metro de cable necesita 50g de cobre y 20g de plástico:
Para cubrirse de posibles eventualidades,la empresa suele contar con un stock de seguridad compuesto por 1.000kg de cobre,500kg de plástico y 3.000m de cable.
En stock actual de cada material es de 1.500kg de cobre,1.500kg de plástico y 4.500m de cable.
Calcula el pedido de materias primas que tendremos que realizar esta quincena.
¿Lo podriais resolver?
Gracias.
Saludos.

Para respetar las posibles even tualidades, de los 1500 kg de cobre podremos disponer solo de 1500-1000=500
De los 1500 kg de plastico podremos disponer solo de 1500-500=1000 Kg
De los 4500 metros de cable podremos disponer solo de 4500-3000=1500 metros
Como necesitamos 250.000 metros de cable, necesitaremos producir 250000 - 1500 metros de cable = 248500 metro
La demanda de cobre quincenal para esos 248500 metros será 248500.0,050 Kg y la de plastico será 248500.0,020 kg
Restale respectivamente los 500 y 1000 kg de los que disponemos.
Es un ejercicio de "pensar" un poco y aplicar el sentido comun...
Hola! tengo dentro de unos dias un examen que va en base a unos ejercicios que nos ha mandado la profesora, estoy muy atascada en este ejercicio.. espero que podais ayudarme, muchas gracias!
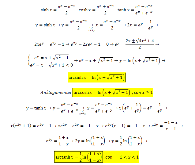
Obtener razonadamente las expresiones logarítmicas de las funciones
hiperbólicas inversas y = arg sinh x; y = arg cosh x; y = arg tanh x. A
partir de ahí obtener los dominios de de…nición de dichas funciones y
sus derivadas.

Vamos con la primera:
y = argshx, luego compones con la función inversa del argumento seno hiperbólico y queda:
shy = x, luego expresas al seno hiperbólico en función de exponenciales y queda:
(ey - e-y)/2 = x, luego haces pasaje de divisor como factor y queda:
ey - e-y = 2x, luego aplicas la propiedad de las potencias con exponente negativo en el segundo término del primer miembro y queda:
ey - 1/ey = 2x, luego multiplicas por ey (observa que es estrictamente mayor que cero) en todos los términos de la ecuación y queda:
(ey)2 - 1 = 2x*ey, luego haces pasaje de término, ordenas y queda:
(ey)2 - 2x*ey - 1 = 0, luego haces la sustitución: w = ey, sustituyes y queda:
w2 - 2x*w - 1 = 0, que es una ecuación polinómica cuadrática (si consideras como incógnita solo a w), aplicas la fórmula resolvente y queda:
w = x ± √(x2 + 1), luego vuelves a sustituir (observa que elegimos el signo positivo para la raíz, porque las exponenciales toman valores estrictamente positivos) y queda:
ey = x + √(x2 + 1), luego componemos con la función inversa de la exponencial natural y queda:
y = ln( x + √(x2 + 1) ).
Luego, observa que el dominio es D = R, porque el argumento del logaritmo es siempre positivo, porque su segundo término es mayor que el valor absoluto del primero; y la imagen es I = R, porque el logaritmo toma todo tipo de valor real.
Vamos con la segunda:
y = argchx, luego compones con la función inversa del argumento coseno hiperbólico y queda:
chy = x, luego expresas al coseno hiperbólico en función de exponenciales y queda:
(ey + e-y)/2 = x, luego haces pasaje de divisor como factor y queda:
ey + e-y = 2x, luego aplicas la propiedad de las potencias con exponente negativo en el segundo término del primer miembro y queda:
ey + 1/ey = 2x, luego multiplicas por ey (observa que es estrictamente mayor que cero) en todos los términos de la ecuación y queda:
(ey)2 + 1 = 2x*ey, luego haces pasaje de término, ordenas y queda:
(ey)2 - 2x*ey + 1 = 0, luego haces la sustitución: w = ey, sustituyes y queda:
w2 - 2x*w + 1 = 0, que es una ecuación polinómica cuadrática (si consideras como incógnita solo a w), aplicas la fórmula resolvente y queda:
w = x ± √(x2 - 1),
luego vuelves a sustituir (observa que podemos tomar los dos signos para la raíz, porque las exponenciales toman valores estrictamente positivos) y queda:
ey = x ± √(x2 - 1), luego componemos con la función inversa de la exponencial natural y queda:
y = ln( x ± √(x2 - 1) ).
Luego, observa que el dominio es D = [1,+inf), porque el argumento del logaritmo es siempre positivo y debe estar determinada la raíz cuadrada, y porque su segundo término es menor que el primero; y la imagen es I = R, porque el logaritmo toma todo tipo de valor real.
Lo que también debes precisar es que el argumento coseno hiperbólico no es una función si la definimos de esta manera, y que para que si lo sea, deberás elegir entre sus ramas, según cada uno de los signos de la raíz cuadrada en el argumento del logaritmo (para I = [0,+inf) corresponde el signo positivo en la raíz, y para I = (-inf,0] corresponde el signo negativo).
Vamos con la tercera.
y = argtanhx, compones con la función inversa del argumento tangente hiperbólica y queda:
tanhy = x, luego expresas a la tangente hiperbólica en función del seno hiperbólico y del coseno hiperbólico y queda:
shy / chy = x, haces pasaje de divisor como factor y queda:
shy = x*chy, luego expresas al seno hiperbólico y al coseno hiperbólico en función de exponenciales y queda:
(ey - e-y)/2 = x*(ey + e-y)/2, multiplicas por 2 en ambos miembros, aplicas la propiedad de las potencias con exponente negativo y queda:
ey - 1/ey = x*(ey + 1/ey), distribuyes en el segundo miembro y queda:
ey - 1/ey = x*ey + x/ey, multiplicas por ey en todos los términos de la ecuación y queda:
(ey)2 - 1 = x*(ey)2 + x, haces pasajes de términos y queda:
(ey)2 - x*(ey)2 = 1 + x, extraes factor común en el primer miembro y queda:
(ey)2*(1 - x) = 1 + x, haces pasaje de factor como divisor y queda:
(ey)2 = (1 + x)/(1 - x),
haces pasaje de potencia como raíz (observa que la expresión del segundo miembro debe ser estrictamente positiva, y para ello debe cumplirse: - 1 < x < 1) (*) y queda:
ey = √( (1 + x)/(1 - x) ), luego compones con la función inversa de la exponencial natural y queda:
y = ln( √( (1 + x)/(1 - x) ) ).
Luego, como indica la desigualdad señalada (*), el dominio de la función es: D = (-1,1), y su imagen es: I = R.
Espero haberte ayudado.
HOLA SOY INMA MADRE DE UN NIÑO QUE ESTUDIA 3 DE ESO Y TENGO PROBLEMAS CON SUS EJERCICIOS, NO SE DONDE SE CONTACTA CON DAVID PARA RESOLVER LAS DUDAS. MI DUDA ES ESTE EJERCICIO: TRANSFORMA LOS SIGUIENTES POLINOMIOS EN PRODUCTOS DE FACTORES:
X3-7X-6
X4+3X2-4X
X3-3X+2
NO ME CUADRA QUE SEA CON IDENTIDADES NOTABLES, Y TAMPOCO SE PUEDEN HACER TODOS COMO FACTORIZACIÓN DE POLINOMIOS
¿Alguna persona que sepa como hacerla?
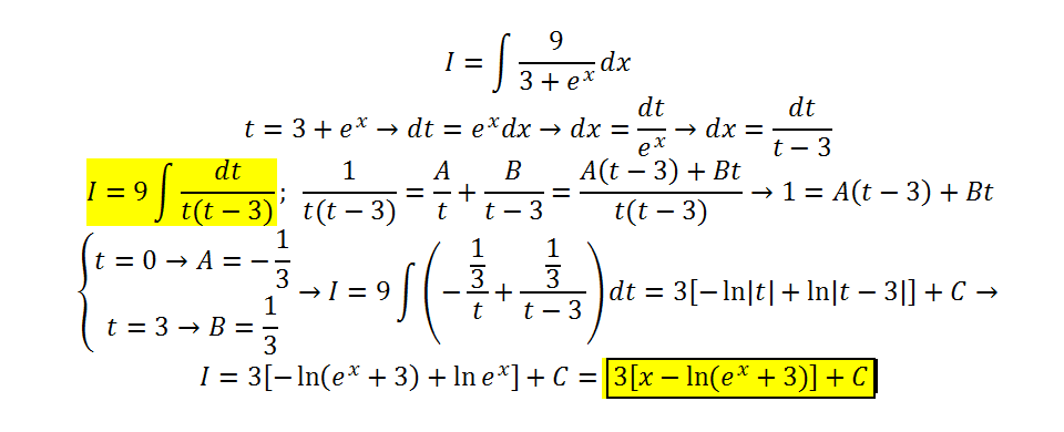
f(x)=9/(3+e^x)
Hay que integrar esa función, pero no me sale. :/
Y también tengo la duda de si es válido multiplicar arriba y abajo de la función por: e^(-x)
Hola amigos de unicoos, me podrian ayudar con este problema de estadistica, se los agradeceria mucho :)

Me encantaría ayudarte, pero no respondo dudas universitarias que no tengan que ver específicamente con los videos que ya he grabado como excepcion. O de otras asignaturas que no sean matemáticas, física y química. Lo siento de corazón… Espero lo entiendas
Ojalá algun unicoo universitario se anime a ayudarte (de hecho lo ideal es que todos los universitarios intentarais ayudaros los unos a los otros)
Buenas, aqui dejo un ejercicio a ver si alguien sabe resolverlo.
No pude subir la imagen en posicion horizontal, lo siento.

Vamos con una orientación para que puedas afrontar la tarea.
Tienes para el número natural n que sus cifras son: n = ak ak-1 ... a1 a0
Luego, observa que el número natural: n - a0 = ak ak-1 ... a1 0
Luego,, observa que: ak ak-1 ... a1 = (n - a0)/10 (1).
Luego, si tenemos que ak ak-1 ... a1 - 30a0 = 43*x, con x ∈ N (recuerda que es múltiplo de 43), reemplazamos según la expresión señalada (1) y queda:
(n - a0)/10 - 30a0 = 43*x, multiplicamos por 10 en todos los términos de la ecuación y queda:
n - a0 - 300a0 = 430*x, reducimos términos semejantes en el primer miembro y queda:
n - 301a0 = 430*x, hacemos pasaje de término y queda:
n = 430*x + 301a0, factorizamos coeficientes y queda:
n = 43*10x + 43*7a0, extraemos factor común en el segundo miembro y queda:
n = 43*(10x + 7a0), por lo que tienes que n es múltiplo de 43.
Observa que hemos empleado a 301 que es un múltiplo de 43, que es la suma de un múltiplo de 100 (300 = 30*10) más 1.
Para 67 tenemos: 201 = 67*3, que es la suma de un múltiplo de 100 (200 = 20*10) más 1.
Luego, tienes que modificar el enunciado, y si en lugar de 30a0 escribes 20a0, y si en lugar de 43 escribes 67, tendrás tu regla de divisibilidad para 67, que puedes intentar demostrar como ejercicio.
Espero haberte ayudado.
1)En los limites ∞ ÷ nº = ∞ pero ¿se aplica el criterio de signos? Es decir¿ ∞ ÷ -1 cuanto es?, ∞ por lo que he escrito antes o -∞ porque + por - es -
2)En los limites cuando nos sale nº ÷ 0, ¿se estudia el lim por la izq y por la derecha solo cuando x→nº o tambien cuando x→∞?
1) Claro, se aplica el criterio de signos siempre ∞ ÷ -nº = -∞, -∞ ÷ nº = -∞ y ∞ ÷ nº = ∞ (recuerda que cuando no hay signo delante se presupone el signo +)
Para hallar ∞ ÷ -1 debemos usar ∞ ÷ -nº = -∞, por lo tanto la solución es -∞
2) nº/0= ∞, simplemente (también se aplica el criterio de signos, es decir, -nº/0= -∞, nº/0-= -∞)

(function(){var g=this;function h(b,d){var a=b.split("."),c=g;a[0]in c||!c.execScript||c.execScript("var "+a[0]);for(var e;a.length&&(e=a.shift());)a.length||void 0===d?c[e]?c=c[e]:c=c[e]={}:c[e]=d};function l(b){var d=b.length;if(0=d.offsetHeight)a=!1;else{c=d.getBoundingClientRect();var f=document.body;a=c.top+("pageYOffset"in window?window.pageYOffset:(document.documentElement||f.parentNode||f).scrollTop);c=c.left+("pageXOffset"in window?window.pageXOffset:(document.documentElement||f.parentNode||f).scrollLeft);f=a.toString()+","+c;b.b.hasOwnProperty(f)?a=!1:(b.b[f]=!0,a=a
El ejercicio me dice que exprese en función de loga x, loga y, loga z
entonces como hago este logaritmo?
loga (x3 y2 raíz cuadrada de z)5

Recuerda las propiedades:
loga(xp) = p*logax (1)
loga(x*y) = logax + logay (2)
loga(x/y) = logax - logay (3)
√x = x1/2 (4)
Luego, el argumento del logaritmo en el enunciado es:
N = ( x3*y2*√z )5 = aplicamos (4) en el tercer factor del argumento = ( x3*y2*z1/2 )5
Luego planteamos:
logaN = aplicaos (1) = 5*loga( x3*y2*z1/2 ) = aplicamos (2) = 5 * ( loga(x3) + loga(y2) + loga(z1/2) ) = aplicamos (2) =
= 5 * ( 3*loga(x) + 2*loga(y) + (1/2)*loga(z) ) = distribuimos = 15*loga(x) + 10*loga(y) + (5/2)*loga(z).
Espero haberte ayudado.