Por favor ayudemen, es super importante, porque ya saci termino mi tarea, solo me faltan ejercicios asi, pero no entiendo que se refere con utilice 365 dias??????
¿Cuantos días se requieren para que una suma de 1000 genere un interés de 20 depositada en un banco que paga un interés simple con una tasa del 5% por año? (Utilice un año de 365 dias)
Te puntualiza lo de 365 días para no dar lugar a la ambigüedad de que hagas los cálculos con un año bisiesto (que tiene 366 días)
Con respecto al problema creo que deberías ser más preciso con el enunciado
Este vídeo te puede ayudar: http://www.unicoos.com/video/matematicas/1-bachiller/matematica-financiera/interes-simple-y-compuesto/interes-simple-y-compuesto
Comprobación:
1000*1.05=1050 euros al final del 1er año
1050*1.05=1102,5 e al final del 2º
1102,5*1.05=1157,625 a al final del 3º
1157,625*1.05=1215,5 al final del 4º año (a los 730 días)
He supuesto que te pagan al final de cada año, no de manera diaria ni mensual (de esta forma quizás el resultado sería más exacto...como advertencia, comprueba bien la resolución con tus conocimientos, pues es la primera vez que hago un ejercicio de matemática financiera, soy de "ciencias")
Buenas noches. Tengo una duda tonta.
En ese tipo de ejercicios de sistemas de ecuaciones, donde piden averiguar valor de "K",por ejemplo, para que el sistema sea indeterminado compatible. Cuando calculo el determinante de la matriz, y me sale por poner un ejemplo 4k^2 -2k+6. De ahi me saldran dos valores de K, esos dos valores serian los que hacen el determinante 0 y por ende compatible indeterminado? O solo uno de los dos es el correcto?

Al plantear el determinante, y resolver la ecuación, obtienes dos valores de k para los cuáles el determinante es igual a cero, tal como afirmas, pero observa que el sistema puede ser compatible indeterminado o incompatible y, para establecer cuál es la opción, para cada valor de k debes reemplazar en el sistema y resolverlo.
Espero haberte ayudado.
buenas noches
buenas noches
alguien me podria ayudar por favor con estos ejercicios de algoritmos de computacion, les agradeceria mucho. saludos....
con el programa pseint. gracias
Hola, creo que esta duda no va aquí, en la segunda pregunta creo que tendrías que usar bucles como el for (te simplificaria bastante el proceso, defines unas constante que representa un vector de numeros flotantes (flotantes) de x posiciones, las que te pidan) , con respecto a aprobados o no aprobados, tendrías que trabajar con las sentencias if, else if o switch. Eso es lo que me suena, tienes un monton de videos en internet sobre el tema.
Buenas noches, estoy haciendo inecuaciones racionales y tengo dudas a la hora de resolverlas. En el caso que te planteo a continuación, al hacer la desigualdad del denominador no sé si debo cambiar el signo (de mayor o menor). El siguiente paso en el que se índicarían los números que verificarían la desigualdad si lo sé hacer. Espero que me puedes ayudar en esa parte que me atasco, gracias.
2x + 1
______ ≤ 0
x- 3
1er caso: 2x + 1 ≤ 0
x ≤ -½
x - 3 > 0
x>-3 ó x<-3
2o caso: 2x + 1 ≥
x ≥ - ½
x - 3 < 0
x<-3 ó x>-3

Has planteado bien los dos casos:
1°) 2x + 1 ≤ 0 y x - 3 > 0, de donde despejas: x ≤ -1/2 y x > 3 (esta opción es única), y observa que las inecuaciones son incompatibles, por lo que el intervalo solución para esta opción es vacío:
2°) 2x + 1 ≥ 0 y x - 3 < 0, de donde despejas: x ≥ - 1/2, y x < 3 (esta opción es única), y observa que el intervalo solución para esta opción es: [-1/2,3).
Luego, la solución de la inecuación del enunciado queda: S = Φ ∪ [-1/2,3) = [-1/2,3).
Las inecuaciones que te llevan a opciones son las que quedan con valor absoluto, por ejemplo:
|x| < 3, que te conduce a: - 3 < x < 3;
|x| > 3, que te conduce a: x < -3 o x > 3.
Te recomiendo mires los vídeos sobre este tema.
Espero haberte ayudado.
Hola unicoos, necesito ayuda con un ejercicio de optimización (aplicación de derivadas), el enunciado dice así: Determinar el área del rectángulo más grande que pueda inscribirse en un triángulo rectángulo, cuyos lados miden 3 y 4 cm, si dos de los lados del rectángulo están sobre los catetos del triángulo. La respuesta es X=3/2 e Y=2. Gracias!

Dibuja el triángulo rectángulo en un sistema cartesiano, con vértices en los puntos (0,0), (4,0) y (0,3).
Luego, observa que la ecuación de la recta que contiene a su hipotenusa es: y = - (3/4)x + 3 (*).
Luego, dibuja un rectángulo inscrito en el triángulo, con vértices: (0,0), (x,0), (0,y), (x,y) (observa que este último se encuentra sobre la hipotenusa del triángulo).
Luego, el área del rectángulo queda:
A = base * altura = x * y, reemplazamos a partir de la ecuación señalada (*) y queda:
A = x(- (3/4)x + 3), distribuyes y queda la expresión de la función:
A(x) = - (3/4)x2 + 3x, cuya derivada queda:
A ' (x) = - (3/2)x + 3,
luego puedes continuar con la tarea (debes igualar a cero, despejar, y evaluar para hallar el valor del área).
Espero haberte ayudado.
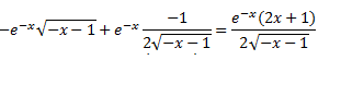
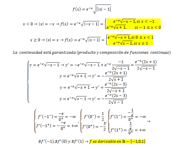
Buenas, a ver si podéis ayudarme con la derivada de esta función. He desarrollado hasta cierto punto pero no sé si está bien ni como continuar:
Muchas gracias profesor,
Le planteo dos dudas:
¿Por qué no se aplica la fórmula (f(x)-f(a))/x-a? Cuando aplicaba esta fórmula era cuando tenia problemas con la derivada, ¿se puede hacer directamente sin aplicarla?
Por otro lado, ¿podría explicarme cómo ha pasado de la primera derivada al resultado? Es decir:
¿Qué pasos ha realizado para llegar a esa conclusión? Es donde me pierdo.
Muchas gracias por su ayuda.
Muchísimas gracias por todo, profesor. Me ha despejado una duda importante.
Una última consulta, a ver si puede ayudarme:
En esta misma función, ¿cómo hallaría las ecuaciones de las semirectas tangentes en los puntos angulosos? Por más vueltas que le doy a este concepto no logro entenderlo, ¿qué intervalo debo tomar para obtenerlas?¿qué fórmula he de aplicar?
Muchas gracias.
Un saludo.
No sabe cuanto se lo agradezco.
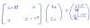
Para este mismo ejercicio, ¿estarían bien calculadas las semitan en los puntos angulosos? (tenía que tomar los puntos abiertos de la función, ¿cierto?)
Intervalo (-1,0)
y-f(-1)=f'(-1^-)(x-1), x ≤-1 ⇔ y=-x, x ≤-1
y-f(0)=f'(0^+) (x-0), x≥0 ⇔ y=x, x≥0
Intervalo (0,1)
y-f(0)=f'(0^-)(x-0), x ≤0 ⇔ y=-x, x ≤0
y-f(1)=f'(1^+) (x-1), x≥1 ⇔ y=x, x≥1
Muchas gracias, le daría infinitos puntos si pudiese.
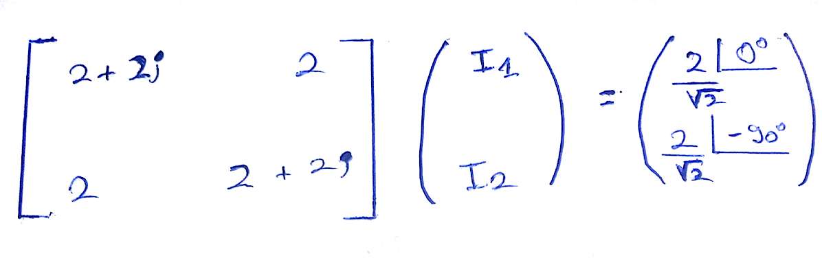
Hola, buenas noches, alguien me podría ayudar con este ejercicio :
Halla R1:
1=ln2(15347'8+R1)*47*10-6
Muchas gracias