
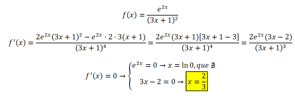
6) Debes tener en cuenta la propiedad de las funciones pares: ∫ f(t)dt (entre -x y 0) = ∫ f(t)dt (entre 0 y x).
Luego, tenemos para la función:
F(x) = ∫ f(t)dt (entre -x y 0) + ∫ f(t)dt (entre 0 y x) = 2 ∫ f(t)dt (entre 0 y x).
Luego, como se cumplen las hipótesis del Teorema Fundamental del Cálculo Integral tenemos:
F ' (x) = 2f(x), sustituimos la expresión de F ' (x) que nos da el enunciado, y queda:
2cos(x2 + 1) = 2f(x), dividimos en ambos miembros por 2 y queda:
cos(x2 + 1) = f(x), luego evaluamos para x = √(π-1) y queda:
f( √(π-1) ) = cos( (√(π-1))2 + 1) = cos(π - 1 + 1) = cos(π) = -1.
Espero haberte ayudado.
Hola, tengo una pregunta. Para analizar la continuidad en este ejercicio, ¿debo hacer los límites laterales?, o solamente se analizan los límites independientes en la dos (ya que no hay por derecha e izquierda). En el primero con el igual tachado el límite me da 6 que es diferente de la imagen, eso quiere decir que no es continua en 3? AYUDA PORFIS

Vienes muy bien con lo que has concluido.
Observa la expresión fraccionaria:
(x2 -9)/(x - 3) = factorizamos el numerador = (x + 3)(x - 3)/(x - 3) = simplificamos = x + 3.
Luego, la expresión de la función queda:
f(x) =
x + 3 si x ≠ 3
3 si x = 3
Luego, pasamos a la definición de continuidad, para estudiarla en el punto x = 3:
1) f(3) = 3 (observa que evaluamos en el segundo trozo de la expresión).
2) Lím(x->3) f(x) = calculamos en el primer trozo = Lí(x->3) (x + 3) = 6 (observa que la expresión del primer trozo corresponde a los dos límites laterales).
3) Como el valor de la función para x = 3 no coincide con el límite de la función para x tendiendo a 3, tenemos que la función no es continua pero, como el límite existe, caracterizamos que f es discontinua evitable (o puntual) en x = 3.
Por último, al decirte para el primer trozo que corresponde a x ≠ 3, te indican que dicho trozo corresponde a valores menores y mayores que 3, por lo que el límite lateral por la izquierda y el límite lateral por la derecha, para x tendiendo a 3, se calculan ambos con el primer trozo.
Espero haberte ayudado.
3/ √x = 6/ √3x+4
me podríais ayudar por favor tengo un examen mañana

Si la ecuación a resolver es: 3/√(x) = 6/√(3x + 4), puedes comenzar con pasaje de divisores como factores y queda:
3√(3x + 4) = 6√(x), dividimos por 3 en ambos miembros de la ecuación y queda:
√(3x + 4) = 2√(x), elevamos al cuadrado en ambos miembros y queda:
3x + 4 = 4x, hacemos pasajes de términos, reducimos términos semejantes y queda
- x = - 4, multiplicamos por -1 en ambos miembros y llegamos a:
x = 4, que es una solución válida, como puedes verificar si reemplazas en la ecuación inicial.
Espero haberte ayudado.

¿Y tu duda es?.. Te lo digo sobre todo porque corresponde a economia o matematicas financieras... ADemás se trata de que trabajéis duro, no solo dejéis enunciados.
No obstante, para que no digas..
Si te dan B'(x), para hllar B(x) tendrás que integrar... La integral de -6x+2100 es B(x)=-3x²+2100x+C...Como sabemos que al vender 200 unidades (x=200) el beneficio es 120.000€ ... -3.200² +2100.200 +C=120000, de donde podrás obtener C...
b) Para maximizar una funcion se iguala su derivada a 0... Por tanto -6x+2100=0...6x=2100....x=350 unidades...
Debes hacer la 2ª derivada ...B''(x)=-6... Como es negativa para cualquier valor de x, el valor obtenido anteiormente será un máximo...
Echale un vistazo.. Crecimiento y curvatura de una función polinomica
El beneficio maximo será el valor de B(x) para x=350....
c) La funcion de ingresos coincide con la de costes cuando C(x)=I(x)... en ese caso el beneficio es 0... solo tienes que igualar a 0 la funcion B(x) y resolver la ecuacion...
d) Integral definida AREA de una funcion
Hola! Ayuda con este ejercicio!!
Calcular maximos y minimos de f(x) = 5-|x+5| en el intervalo [2,7]
Gracias! :D

Observa que el argumento del valor absoluto es positivo en el intervalo, por lo que podemos escribir la expresión de la función en la forma:
f(x) = 5 - (x + 5) = 5 - x - 5 = - x.
Luego observa que la función es continua en el intervalo, y que el intervalo es cerrado, por lo que tenemos que la función alcanza Máximo Absoluto y Mínimo Absoluto en el intervalo, y que pueden localizarse en los extremos del intervalo, o en su interior.
Por lo tanto, tenemos los puntos notables:
x1 = 2, x2 = 7, que son los extremos del intervalo cerrado;
y para buscar puntos notables en el interior del intervalo, planteamos la expresión de la función derivada:
f ' (x) = - 1, y como es distinta de cero para todo valor de x, tenemos que la función no presenta puntos notables en el interior del intervalo y, más todavía, como la derivada es negativa para todo valor del intervalo, tenemos que la función es estrictamente decreciente en el intervalo y, por lo tanto, alcanza su Máximo Absoluto en el extremo izquierdo, y su Mínimo Absoluto en el extremo derecho del intervalo cerrado:
f(2) = - 2, es el valor Máximo Absoluto que alanza la función en el intervalo [2,7],
f(7) = -7, es el valor Mínimo Absoluto que alcanza la función en el intervalo [2,7].
Espero haberte ayudado.
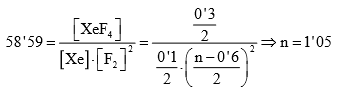
Hola, alguien podría ayudarme a despejar la n? Ignorad la formula [XeF4] y todo eso, es simplemente igualar 58.59 a la ecuación... Intento hacerla una y otra vez y no me da n ese resultado...
GRACIAS!!!!

Tienes la ecuación
58,59 = (0,3/2) / ( (0,1/2)( (n - 0,6)/2 )2 ), resolvemos los factores remarcados:
58,59 = 0,15 / ( 0,05( (n - 0,6)/2 )2 ), hacemos pasaje de divisor como factor:
58,59( 0,05( (n - 0,6)/2 )2 ) = 0,15, resolvemos factores numéricos en el primer miembro:
2,9295( (n - 0,6)/2 )2 = 0,15, distribuimos el cuadrado:
2,9295(n - 0,6)2/4 = 0,15, hacemos pasaje de factores y divisores:
(n - 0,6)2 = 0,15*4/2,9295, resolvemos el segundo miembro:
(n - 0,6)2 ≅ 0,2048, hacemos pasaje de potencia como raíz:
n - 0,6 ≅ √(0,2048), resolvemos el segundo miembro
n - 0,6 ≅ ±0,4526, hacemos pasaje de término y queda:
n ≅ 0,6 ± 0,4526, luego tenemos dos soluciones:
a) n ≅ 1,0526,
b) n ≅ 0,1474;
y según corresponda al problema que estés resolviendo corresponderá que elijas la solución adecuada.
Espero haberte ayudado.
Hola ! Cómo se representa esto ? Y = X + /X-1/ - /X + 2/ ?
Es que con el menos entre valores absolutos no lo entiendo.
Muchas gracias.

Recuerda que para cada valor absoluto tienes una expresión a trozos:
|x-1| =
x - 1 si x ≥ 1 (A)
-x + 1 si x < 1 (B)
|x+2| =
x + 2 si x ≥ -2 (C)
-x -2 si x < -2 (D)
Luego, observa que tenemos dos puntos de corte, que nos determinan tres intervalos:
(-inf,-2), al que corresponden las expresiones señaladas (B) y (D)
[-2,1), al que corresponden las expresiones señaladas (B) y (C)
[1,+inf), al que corresponden las expresiones señaladas (A) y (C)
Observa que las expresiones señaladas (A) y (D) son incompatibles).
Luego, la expresión de la función del enunciado tendrá tres trozos:
y = x + |x-1| - |x + 2| =
x - x + 1 - x - 2 si x < -2
x - x + 1 + x + 2 si -2 ≤ x < 1
x + x - 1 + x + 2 si x ≥ 1
Luego reducimos términos semejantes en las expresiones de los trozos y queda:
y =
- x - 1 si x < -2
x + 3 si -2 ≤ x < 1
3x + 1 si x ≥ 1
Luego puedes representar gráficamente.
Espero haberte ayudado.