Buenas! Necesito ayuda con un ejercicio de continuidad de limites que encontré en Internet, y no termino de entender ciertos pasos.
Dejare el link: http://www.vitutor.com/fun/3/b_e.html
Una de las cosas que no entiendo es por que cuando se estudia el limite por la izquierda se eliminan las fracciones finales como si nada, ya que no están multiplicando;
la segunda es porque en la misma los infinitos quedan como negativos; y la tercera es porque el resultado cuando se estudia la función por la derecha es infinito positivo siendo que debería ser un infinito negativo sobre un infinito positivo.
Espero puedan ayudarme, lo agradecería bastante.
Buenas un favor tengo este ejercicio de estadística sera que alguien me puede ayudar? por favor se los agradecería

Lo siento pero no se trata de que envieis enunciados de 8 en 8...
Se trata de que DESPUES DE IR A CLASE (ver los vídeos
relacionados con vuestras dudas) enviéis dudas concretas, muy concretas. Y que
nos enviéis también todo aquello que hayais conseguido hacer por vosotros mismos.
Paso a paso, esté bien o mal. No solo el enunciado, pero no olvidéis de
adjuntarlo de forma LITERAL, para saber que os piden. De esa manera podremos
saber vuestro nivel, en que podemos ayudaros, cuales son vuestros fallos.... Y
el trabajo duro será el vuestro. Nos cuentas ¿ok? #nosvemosenclase ;-)
Echale un vistazo.. Estadística
Tengo estas serie de conceptos :
Coste laboral equipo de ingeneria 50.000 euros año
Subcontrata 10.000 euros proyecto
Piezas + materiales 5000 euros proyecto
Coste de mantenimiento maquinaria,fábrica 20000 euros/año
Coste laboral equipo instaladores 40.000 euros año
Ingreosos totales percebidos por este tipo de proyectos 250.0000 euros al año.
La pregunta es esta linea de negcio es rentable si se han realizado 10 proyectos ? se llegaría al punto muerto ? representar el punto de equilibrio e indicar cuantos proyectos se han de realizar para llegar al punto muerto
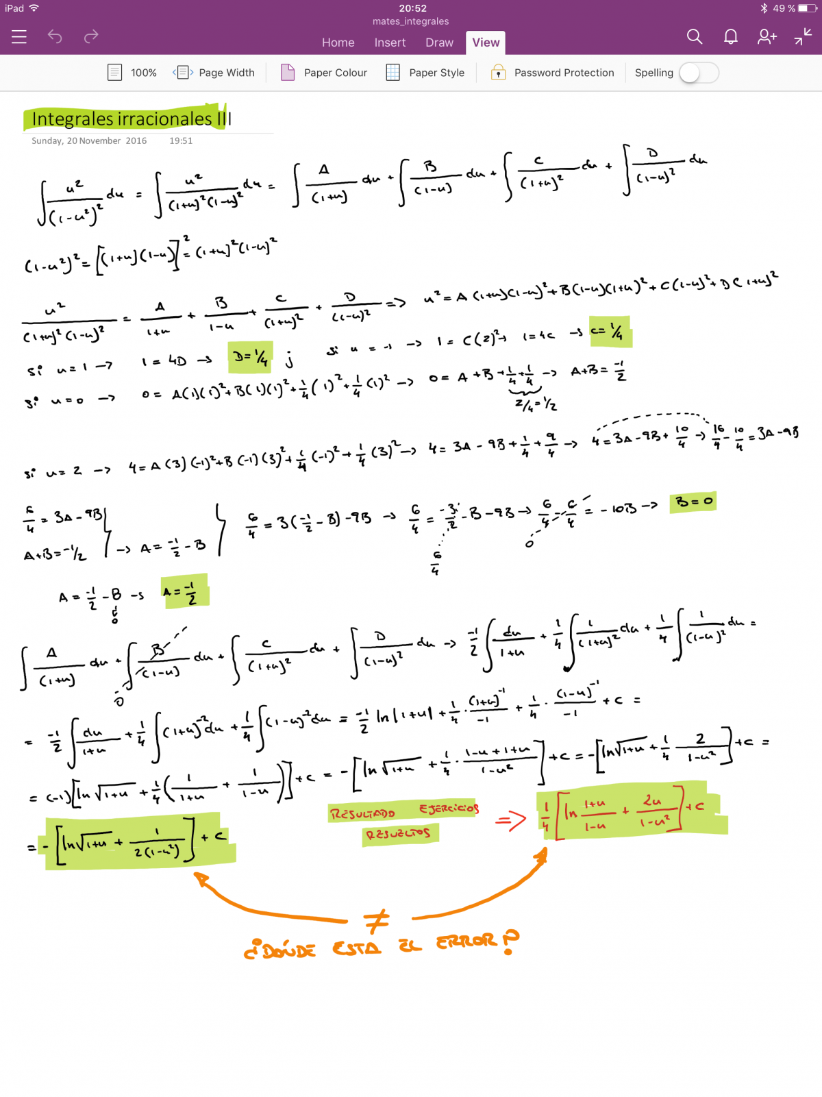
Hola de nuevo. Vuelvo a dejaros esta duda de nuevo pero mejor expresada. No sé dónde está el error. Muchísimas gracias de antemano.

Claro. Ahí te dejo la integral completa. Es una vez transformada a integral racional, tras dos cambios de variable, cuando todo se complica. Además me temo que debe ser un error recurrente mío porque cuando llego a esa expresión o a alguna con (x2-1)2*(x2+1)2 en el denominador de la integral racional en todos los ejercicios de este tipo, mi resultado no coincide nunca con el del profesor, generando siempre suma de ln y no resta para tener una división en el interior del ln. Muchísimas gracias por tu ayuda.
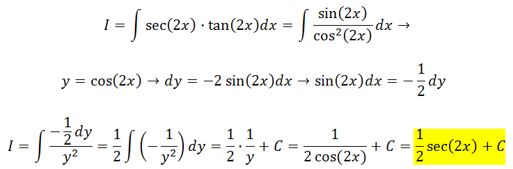
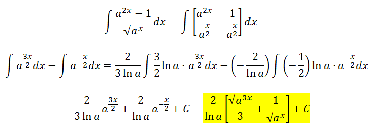
Muy buenas tardes, me estoy peleando hace rato con estas dos integrales pero no logro resolverlas, me podrían ayudar por favor?
a) ∫ (sec(2x)*(tg(2x))dx
b) ∫ ((a^(2x) - 1)/(√(a^x)))dx
Muchísimas gracias por su ayuda.