2) cuanto porcentaje de las entidades f otorgaron al menos 8 prestamos??
3) q porcentaje de las entidades otorgaron alo sumo 15 prestamos??
prestamosffrf%FFrF%0-3,5120,2121120.21213,5-7130,2323250.44447-10,5140,2525390.696910,5-1440.077430.767614-17,570.1313500.898917,5-2140.077540.969621-24,520.044561100
Echale un vistazo a estos vídeos... Integral definida AREA de una funcion
Se trata de que DESPUES DE IR A CLASE (ver los vídeos relacionados con vuestras dudas) enviéis dudas concretas, muy concretas. Y que nos enviéis también todo aquello que hayais conseguido hacer por vosotros mismos. Paso a paso, esté bien o mal. No solo el enunciado, pero no olvidéis de adjuntarlo de forma LITERAL, para saber que os piden. De esa manera podremos saber vuestro nivel, en que podemos ayudaros, cuales son vuestros fallos.... Y el trabajo duro será el vuestro. Nos cuentas ¿ok? #nosvemosenclase ;-)
Hola, necesito ayuda con el b y d
y me gustaría saber si el c) se hace utilizando el Teorema de Weierstrass 
hola unicoos me podrian ayudar con el paso a paso para esta integral?
∫(x^2 - 1)/ (x^3-2x^2-5x+6)

Factoriza el denominador (Ruffini o Cardano) y nos cuentas ¿ok? El trabajo duro debe ser el tuyo. a partir de ahí, como en estos vídeos...
Integrales racionales
¡Hola!: ¿Cómo se suman fracciones de distinto denominador?
Y ¿Cómo se opera en fracciones que se suman, restan y multiplican y tienen distinto denominador?
¡Gracias!
Saludos! ;
PROFE hoy el profe nos estuvo explicando otro ejercicio de este tipo pero no pudo terminarlo. es el 38, me podrias ayudar???


La matriz de costes C es
(0,01)
(0,04)
(0,05)
(0,01)
Debe ser 4x1 pues la matriz de los materiales es 3x4 y la unica forma de que puedas multiplicarlas es que coincidan el numero de columnas de B con el numero de filas de C
Multiplicacion matrices 3x3
A.B es la cantidad demandada por los almacenes de hojalata, cangrejo, aceite y sal
B.C el coste de cada tipo de lata
A.B.C el coste total...
Intenta hacerlo como si no fueran matrices para que puedas entenderlo mejor. ANIMO!
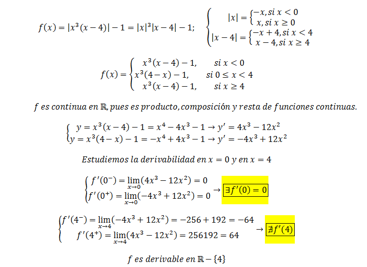
Aquí dejo enunciado : f(x)=|x^3(x-4)|-1
Buenas tardes!. Estoy intentando deducir si esta función es derivable o no, se que cuando tenga una función en valor absoluto, tengo que igualarlo a cero, pero el uno restando me desconcierta, ¿podrían decirme cuales son los valores de x para estudiar si son continuos o derivables en ellos? Gracias!.