Me pueden ayudar por favor con la demostración de siguiente identidad trigonométrica: (1+sen x) / cos x + cos x / (1+sen x) = 2 secx

Comencemos con el primer miembro de la igualdad (observa que es una expresión con dos términos fraccionarios):
(1+sen x) / cos x + cos x / (1+sen x) = extraemos denominador común y queda:
= ( (1+senx)2 + cos2x ) / cosx(1+senx) = desarrollamos el binomio elevado al cuadrado en el numerador:
= ( 1 + 2senx + sen2x + cos2x ) / cosx(1+senx) = aplicamos la identidad trigonométrica fundamental:
= ( 1 + 2senx + 1 ) / cosx(1+senx) = reducimos términos constantes en el numerador:
= ( 2 + 2senx) / cosx(1+senx) = extraemos factor común en el numerador:
= 2(1+senx) / cosx(1+senx) = simplificamos y queda:
= 2 / cosx = 2(1/cosx) = aplicamos la identidad de la secante:
= 2secx.
Espero haberte ayudado.
Hola tengo este ejercicio que creo haber resuelto bien (espero ya q tengo examen en unas horas y se basa en esto), a que se refiere con f(x)<0? que me pide hacer? Gracias!!!

Tienes la expresión factorizada: f(x) = (x+6)(x-2)(x-4), luego pasamos a la inecuación:
f(x) < 0, sustituimos y queda:
(x+6)(x-2)(x-4) < 0, observa que el producto debe ser negativo (menor que cero), por lo que tenemos cuatro opciones:
a) x+6<0 y x-2<0 y x-4<0, despejas y queda: x<-6 y x<2 y x<4, que corresponde al intervalo: (-inf,-6);
b) x+6<0 y x-2>0 y x-4>0, despejas y queda: x<-6 y x>2 y x>4, que corresponde al intervalo: Φ (vacío);
c) x+6>0 y x-2<0 y x-4>0, despejas y queda: x>-6 y x<2 y x>4, que corresponde al intervalo: Φ (vacío);
d) x+6>0 y x-2>0 y x-4<0, despejas y queda: x>-6 y x>2 y x<4, que corresponde al intervalo: (2,4).
Luego, el conjunto solución de la inecuación, expresado como intervalo, queda: S = (-inf,-6) u (2,4).
Espero haberte ayudado.
ayuda mañana tengo exámenes y estoy colgado con las estadísticas en matemáticas
ATT: No entendi
Hola Unicoos,
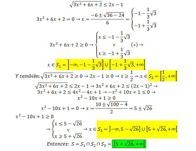
¿Me ayudáis con la siguiente inecuación?
Gracias


Asumiendo que el primer miembro es positivo, hacemos pasaje de raíz como potencia y queda:
3x2 + 6x + 2 ≤ (2x - 1)2 desarrollamos el segundo miembro y queda:
3x2 + 6x + 2 ≤ 4x2 - 4x + 1, hacemos pasajes de términos, reducimos términos semejantes y queda:
- x2 + 10x ≤ -1, multiplicamos en todos los términos de la inecuación por -1 (observa que cambia el sentido de la desigualdad) y queda:
x2 - 10x ≥ 1, sumamos 25 en ambos miembros (buscamos completar un trinomio cuadrado perfecto en el primer miembro) y queda:
x2 - 10x + 25 ≥ 1 + 25,, factorizamos el primer miembro, resolvemos el segundo miembro y queda:
(x - 5)2 ≥ 26, hacemos pasaje de potencia con exponente par como raíz (observa que queda valor absoluto en el primer miembro):
|x - 5| ≥ √(26), luego tenemos dos opciones:
a) x - 5 ≤ - √(26), que nos conduce a: x ≤ 5 - √(26), que corresponde al intervalo ( -inf , 5 - √(26) ); o:
b) x - 5 ≥ √(26), que nos conduce a: x ≥ 5 + √(26), que corresponde al intervalo ( 5 + √(26) , +inf ).
Por todo, concluimos que el conjunto solución expresado como intervalo queda: S = ( -inf , 5 - √(26) ) u ( 5 + √(26) , +inf ).
Espero haberte ayudado.
Hola buena noche, si tengo f (x) = x^2 I= [2,4] hallar su maximo y minimo, hice el procedimiento que según su maximo es 16 y 4 el minimo aunque dudo mucho que este bien, si alguien me pudiera rectificar por favor y resolver otras dudas que tengo:
-que pasa cuando I= a intervalos abiertos, habría un minimo y maximo en 'x' funcion?
-es posible hallar máximo y minimo en un intervalo abierto y el otro cerrado?
Muchas gracias aplico mañana y quiero que me aclaren estas dudas por favor, bendiciones.

Recuerda el enunciado del Teorema correspondiente:
Si f es una función continua en un intervalo cerrado D, entonces f alcanza máximo absoluto y mínimo absoluto en D.
En el primer caso has resuelto bien: la función es continua, el intervalo es cerrado, y como la función es estrictamente creciente en el intervalo, tenemos que no presenta puntos críticos en él, por lo que tenemos un mínimo absoluto en el extremo izquierdo, y un máximo absoluto en el extremo derecho del intervalo.
Si el intervalo es abierto en los dos extremos, o semiabierto (con un extremos abierto y otro cerrado), no es posible aplicar el Teorema, y debemos realizar un estudio completo a fin de localizar máximos y mínimos absolutos.
Espero haberte ayudado.
Hallar el volumen del solido limitado por las superficies :
No entiendo porque le hace esa parte de x^2+y^2=4
ayuda

Me encantaría ayudarte, pero no respondo dudas universitarias que no tengan que ver específicamente con los videos que ya he grabado como excepcion. O de otras asignaturas que no sean matemáticas, física y química. Lo siento de corazón… Espero lo entiendas
Ojalá algun unicoo universitario se anime a ayudarte (de hecho lo ideal es que todos los universitarios intentarais ayudaros los unos a los otros)
Alguien me podria verificar esto:
plano1: 3x-6y+3z=2
plano2: x-2y+2=7
tengo que verificar si son paralelos o perpendiculares. Yo lo hize, y me sale...3/1=-6=-2=3/0 no entiendo ahi como seria el 3/0..queda igual a 3?
Y el producto vectorial de los normales es distinto de 0 asi que perpendiculares no son.

Tienes el vector normal al primer plano: u = <3,-6,3>, y el vector normal al segundo plano: v = <1,-2,0>.
Luego planteamos (llamamos N al vector nulo):
a) Condición de paralelismo entre planos (los vectores normales son paralelos): u x v = N (el producto vectorial entre los vectores normales tiene resultado nulo).
b) Condición e perpendicularidad entre planos (los vectores normales son perpenidculares): u • v = 0 (el producto escalar entre los vectores normales es igual a cero).
Observa que los planos son secantes, ya que puedes verificar que no son paralelos ni perpendiculares.
Espero haberte ayudado.

Me encantaría ayudarte, pero no respondo dudas universitarias que no tengan que ver específicamente con los videos que ya he grabado como excepcion. O de otras asignaturas que no sean matemáticas, física y química. Lo siento de corazón… Espero lo entiendas
Ojalá algun unicoo universitario se anime a ayudarte (de hecho lo ideal es que todos los universitarios intentarais ayudaros los unos a los otros)
Los molesto con dos consultas.
Para calcular el angulo entredos planos, seria cos= al producto escalar de los normales sobre el producto del modulo de los normales, o seria cos=al modulo del escalar de los normales sobre el producto del modulo de los normales?
Otra duda tonta, cuando calcule el angulo..la calculadora debe estar en radianes? o da igual?