Alguien me aydua a decir si coverge o diverge?? Lo intente comprandola con 1/x pero se me complica un poco no me da muchos resultados.

Me encantaría ayudarte, pero no respondo dudas universitarias que no tengan que ver específicamente con los videos que ya he grabado como excepcion. O de otras asignaturas que no sean matemáticas, física y química. Lo siento de corazón… Espero lo entiendas
Ojalá algun unicoo
universitario se anime a ayudarte (de hecho lo ideal es que todos los
universitarios intentarais ayudaros los unos a los otros)
Por si te ayuda, grabé varios vídeos de INTEGRALES IMPROPIAS como excepción... Integrales Impropias
Buenos días.
Dice:
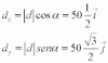
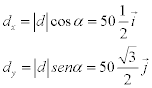
Dados los vectores a= 2i + 4j + 6k y b= i -2j + 3k
a) el vector de suma s= a + b = (2i + 4j + 6k) + (i -2j + 3k) = (3 , 2 , 9)
b) |s| = √94 ¿de donde sale la raíz de 94?
c) dice: el vector de diferencia d = a - b = (1 , 6 , 3) Entiendo el cambio de signos y el resultado pero no el por que de la (d) y no usar la (c) de d =a - b. ¿hay algo que me pierdo o es insignificante?
Y este otro dice que d ud = ( 1/√46 , 6/√46 , 3/√46) entonces entiendo que utilizo para el numerador los números de ejercicio c donde d = a - b pero ¿de donde sale la raíz de 46?
Gracias.
Buenos días.
Vectores:
c= 2a - 3b= 2·(3i - 2j) - 3(-4i + j) = (6i - 4j) + (12 - 3)= (18, -7)
Luego para el ejercicio siguiente dice que es un vector unitario del vector c (Uc )
c (Uc ) = Uc = ( 18/√ 373 , - 7/√ 373 ) y es que, no se de donde sacan √ 373 ni el signo tampoco. Ya he visto todos los vídeos y los he hecho.
Si algún unicoos puede ayudarme, gracias.
Buenos días.
En el ejercicio c entiendo que multiplico el 3 por el número de recuadros que abarca la flecha a,, siendo (18,0) y 0 por que no pide b.
En el ejercicio d entiendo que multiplico 3 por los recuadros que abarca la flecha hasta el recuadro donde empieza b siendo 3·4=12 y para b 2 por el número de recuadros que abarca b siendo -2·5=-10
Ahora, para los ejercicio a y b por esta norma no los entiendo.
∫1+cos4Θ /2 dΘ

Si la integral está expresada:
I = ∫ ( 1 + cos4Θ )/2 * dΘ, extraemos el factor constante y queda:
I = (1/2) ∫ ( 1 + cos4Θ ) * dΘ, luego planteamos la sustitución (cambio de variable:
w = 4Θ, de donde tienes: dw = 4dΘ, y puedes despejar: (1/4)dw = dΘ, luego sustituyes y qued:
I = (1/2) ∫ ( 1 + cosw ) * (1/4)dw, luego extraemos factor constante y queda:
I = (1/8) ∫ ( 1 + cosw ) dw, integramos y queda:
I = (1/8) ( w + senw ) + C, luego volvemos a sustituir para recuperar la variable original y queda:
I = (1/8) ( 4Θ + sen(4Θ) ) + C, distribuimos y llegamos a:
I = (1/2)Θ + (1/8)sen(4Θ) + C.
Espero haberte ayudado.