Foro de preguntas y respuestas de Matemáticas

logo beUnicoos
Los foros de unicoos se han unificado en nuestra nueva plataforma beUnicoos. Para dejar nuevas preguntas deberás hacerlo allí, donde además podrás encontrar nuevas asignaturas y herramientas para ayudarte más con tus estudios.

  • icon

    S. UNSIRIO
    el 21/11/16

    Buenos dias! Resolvi el ejercicio (espero haberlo hecho bien ) pero no se que debo hacer en el punto d) REsolver f(x)<0. Muchisisimas gracias!

    replythumb_up0 voto/sflag
    icon

    César
    el 21/11/16

    Imposible leer la foto que adjuntaste.

    thumb_up1 voto/sflag
    icon

    S. UNSIRIO
    el 21/11/16

    Intento de nuevo. Gracias


    thumb_up0 voto/sflag
  • icon

    Majda Yahya
    el 21/11/16

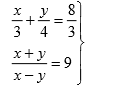
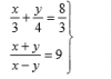
    Hola buenos días, alguien me puede ayudar con este sistema de ecuaciones, la verdad es que no se ni por dónde empezar.

    replythumb_up0 voto/sflag
    icon

    Antonio Silvio Palmitano
    el 21/11/16

    Primero que todo, observa que x debe ser distinto de y, para que no se indetermine la segunda ecuación.

    Luego, multiplicas por 12 en todos los términos de la primera ecuación, haces pasaje de divisor como factor en la segunda y queda:

    4x + 3y = 32

    x + y = 9(x - y),

    distribuyes, haces pasaje de términos en la segunda ecuación y queda:

     4x + 3y = 32

    -8x + 10y = 0,

    luego, puedes despejar en la segunda ecuación y queda: y = 8x/10 = (4/5)x (*),

    luego sustituyes en la primera ecuación y queda:

    4x + (12/5)x = 32, multiplicas en todos los términos por 5 y queda:

    20x + 12x = 160, reduces términos semejantes y queda:

    32x = 160, de donde puedes despejar x = 5;

    luego sustituyes en la expresión señalada (*) y tienes: 

    y = (4/5)*5, resuelves y queda: y = 4.

    Observa que la solución: x = 5, y = 4 es válida, ya que no indetermina a la segunda ecuación del sistems inicial.

    Espero haberte ayudado.

    thumb_up1 voto/sflag
  • icon

    Isa Garcia Prieto
    el 21/11/16
    flag

    Alguien podría ayudarme con estos tres punto no lo sigo sacar 3,4 y 5

    replythumb_up0 voto/sflag
    icon

    David
    el 21/11/16

    Me falta algo, el numero de pasajeros en cada ruta.. ¿es ese el enunciado completo y lliteral?

    thumb_up0 voto/sflag
  • icon

    SERGIO ARIAS
    el 21/11/16

    el polinomio de segundo grado en x con coeficientes reales, ax^2+bx+a, verificar:

    -su raiz es doble

    -sus raices son inversas

    -sus raices son opuestas

    - sus dos raices son reales

    - sus dos raices son estrictamente complejas

    gracias

    replythumb_up0 voto/sflag
    icon

    David
    el 21/11/16

    Aplica Vietta, la formula de toda la vida... En este caso c=a..... [-b±√(b² -4.a.a)]/(2a)... 
    Si b²-4a²=0 tendrás una raiz doble igual a -b/(2a)
    Si b²-4a²>0 tendrá dos raices
    Si b²-4a<0
     no tendrá solución. 
    A partir del enunciado no podemos asegurar nada más..

    thumb_up0 voto/sflag
    icon

    Antonius Benedictus
    el 21/11/16


    thumb_up1 voto/sflag
  • icon

    SERGIO ARIAS
    el 21/11/16
    flag

    El area del rombo inscrito al hexagono regular es de 24 cm^2. la del hexagono regular, en cm2 seria?

    replythumb_up0 voto/sflag
    icon

    David
    el 21/11/16

    Si lo acompañas al menos de un dibujo...

    thumb_up0 voto/sflag
  • icon

    SERGIO ARIAS
    el 21/11/16

    ¡CUAL ES EL FACTORIAL MAS PEQUEÑO QUE ES MULTIPLO DE 2^29? 

    replythumb_up0 voto/sflag
    icon

    Antonio Silvio Palmitano
    el 21/11/16

    Buscas:  1*2*3*...*(n-2)*(n-1)*n = n!.

    Luego, debes encontrar un producto de n factores, en los cuáles al descomponer en factores primos obtengas veintinueve veces a 2 como factor (descomponemos solamente los factores pares):

    1* 2*3*(22)*5*(2*3)*7*(23)*9*(2*5)*11*(22*3)*13*(2*7)*15*(24)*17*(2*9)*19*(22*5)*21*(2*11)*23*(23*3)*25*

    *(2*13)*27*(22*7)*29*(2*15)*31*(25) = 32!

    Observa que si sumas los expoenentes de 2 de todos los factores, queda 31, por lo que 231 = 22*229 es factor de 32!.

    Por lo tanto, tenemos que el mínimo factorial múltiplo de 229 es 32!.

    Espero haberte ayudado.



    thumb_up1 voto/sflag
  • icon

    SERGIO ARIAS
    el 21/11/16

    en un bombo de loteria quedan 2n+1 bolas, n+1 pares y n impares. si damos vueltas al bombo y extraemos dos bolas, ¿cual es la probabilidad de que la suma sea impar? Gracias

    replythumb_up0 voto/sflag
    icon

    Antonius Benedictus
    el 21/11/16

    Se supone una extracción simultánea (sin orden ni reposición).

    Casos posibles C(2n+1,2)=(2n+1)·2n/2=n(2n+1)

    Casos favorables  (bola impar y bola par):  C(n+1,1)·C(n,1)=(n+1)·n

    Probabilidad pedida:

    (n+1)/(2n+1)

    thumb_up1 voto/sflag
  • icon

    Pedro Ventura Canencia
    el 21/11/16


    Di cuál de los siguientes puntos pertenece a la recta r que pasa por el punto P (1, -1,3) y tiene vector director v = (2,1, - 2):  A (5, -1,1), B (3,0,3), C (5,1, -1), D (9,3,0)alguien podria indicarme como resolver-lo?

    replythumb_up0 voto/sflag
    icon

    Antonio Silvio Palmitano
    el 21/11/16

    Planteamos la ecuación vectorial paramétrica para la recta que pasa por el punto Po(1,-1,3) y tiene vector director v = <2,1,-2>:

    <x,y,z> = <1,-1,3> + t<2,1,-2>, con t ∈ R

    resolvemos las operaciones en el segundo miembro y queda:

    <x , y , z> = <1+2t , -1 + t , 3 - 2t >, luego igualamos componente a componente y queda el sistema de ecuaciones cartesianas paramétricas de la recta:

    x = 1+2t

    y = -1 + t

    z = 3 - 2t 

    con t ∈ R

    Luego, vamos a investigar si el punto P1(3,03) pertenece a la recta. Para ello, reemplazamos sus coordenadas en las ecuaciones, y queda el sistema:

    3 = 1+2t

    0 = -1 + t

    3 = 3 - 2t

    Observa que tenemos un sistema de tres ecuaciones con una incógnita, por lo que resolvemos con una ecuación y verificamos en las otras dos: si verifican, tenemos que el punto pertenece a la recta, y si una o ambas no verifican, tenemos que el punto no pertenece a la recta.

    De la tercera ecuación podemos despejar: t = 0,

    y al reemplazar en la primera ecuación queda:

    3 = 1 + 2*0 = 1, que es una identidad absurda, por lo que tenemos que el punto P1 no pertenece a la recta.

    En forma similar, puedes proceder con los demás puntos.

    Espero haberte ayudado.

    thumb_up1 voto/sflag
  • icon

    S. UNSIRIO
    el 21/11/16
    flag

    Como resolver en una ecuacion f(x)<0  o f(x)>0 ? Osea entiendo obviamente los signos de menor mayor, menor o igual, etc. lo que no entiendo es que debo de hacer. No entiendo que es lo que me piden con esa pregunta. Alguien lo sabe? Saludos


    replythumb_up0 voto/sflag
    icon

    Antonio Silvio Palmitano
    el 21/11/16

    Por favor, envía el enunciado de tu ejercicio para que podamos ayudarte

    thumb_up1 voto/sflag