Hola únicos tengo una duda sobre límites de variables complejas, si me podrían ayudar:
Determinar si existe o no el siguiente límite,
Lim z->1 ( (√(z^2+3)-2)/(ž-1))
Observacion: ž= zeta trazo
Desde ya muchísimas gracias

Me encantaría ayudarte, pero no respondo dudas universitarias que no tengan que ver específicamente con los videos que ya he grabado como excepcion. O de otras asignaturas que no sean matemáticas, física y química. Lo siento de corazón… Espero lo entiendas
Ojalá algun unicoo universitario se anime a ayudarte (de hecho lo ideal es que todos los universitarios intentarais ayudaros los unos a los otros)
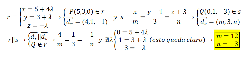
Buenas tardes. necesito un poco de ayuda con este ejercicio de rectas.Valores de m y n para que sean paralelas.Tengo entendido que para ser paralelas, sus vectores o pendientes deben ser iguales, pero nose como plantear la igualacion

Me encantaría ayudarte, pero no respondo dudas universitarias que no tengan que ver específicamente con los videos que ya he grabado como excepcion. O de otras asignaturas que no sean matemáticas, física y química. Lo siento de corazón… Espero lo entiendas
Ojalá algun unicoo
universitario se anime a ayudarte (de hecho lo ideal es que todos los
universitarios intentarais ayudaros los unos a los otros)
Es muy posible te ayuden estos vídeos que grabé como excepción... Integrales Impropias
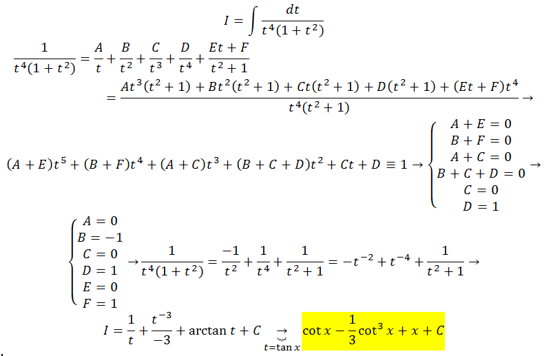
Hola unicoos, antes he preguntado si me podríais ayudar con una integral y con las respuestas que me habéis dado lo he entendido mas o menos bien. Lo que pasa es que yo tengo otro procedimiento en mi libreta que no entiendo, por si me lo podríais explicar. También os pediría si me podríais ayudar con la integral que hay abajo porque no entiendo el procedimiento del todo. Gracias de antemano.
Hola unicoos, será que me pueden ayudar con el ejercicio 19? es de calculo de números complejos, desde ya, muchas gracias![]()

Expresamos al número complejo genérico en forma binómica: z = x + yi, luego, la ecuación queda:
Re( (x + yi)2 - 4(x - yi) ) = 0, desarrollamos el argumento en el primer miembro:
Re( x2 + 2xyi - y2 - 4x + 4yi ) = 0, agrupamos términos reales e imaginarios por separado:
Re( (x2 - y2 - 4x) + (2xy + 4y)i ) = 0, resolvemos el primer miembro (nos quedamos con la parte real del argumento):
x2 - y2 - 4x = 0 (observa que la curva es una hipérbola).
Luego derivamos implícitamente con respecto a x:
2x - 2y*y ' - 4 = 0, dividimos por 2 en todos los términos de la ecuación y queda:
x - y*y ' - 2 = 0, despejamos y queda:
(x - 2)/y = y '.
Luego, observa que la expresión se indetermina para el punto de coordenadas: Z(4,0), ya que el numerador toma el valor -2, y el denominador toma el valor 0. Por lo tanto, tenemos que la recta tangente en el punto es paralela al eje coordenado OY, y su ecuación es: x = 4.
Luego, como la recta normal en el punto es perpendicular a la recta tangente, tenemos que la recta normal es paralela el eje coordenado OX, y su ecuación es y = 0 (observa que la recta normal coincide con el eje OX).
Espero haberte ayudado.

Consideremos, para los incisos (a) y (b) la sucesión cuyo elemento general es: bn = sen(n), y observa que está acotada, ya que: - 1 ≤ bn ≤ 1, para todo n ∈ N.
a) Consideremos la sucesión con elemento general: cn = 2cos(n), y observa que también está acotada, ya que: - 1 ≤ bn ≤ 1, para todo n ∈ N.
Luego, tenemos para el elemento general de la sucesión an:
an = bn*cn = sen(n)*2cos(n) = sen(2n), y observa que también está acotada, ya que: - 1 ≤ bn ≤ 1, para todo n ∈ N. pero no es convergente, ya que sus elementos oscilan entre -1 y 1.
b) Consideremos la sucesión con elemento general constante: cn = 1, observa que converge a 1.
Luego, tenemos para el elemento general de la sucesión an:
an = bn*cn = sen(n)*1 = sen(n), y observa que también está acotada, ya que: - 1 ≤ bn ≤ 1, para todo n ∈ N. pero no es convergente, ya que sus elementos oscilan entre -1 y 1.
c) Observa que tienes que 1/cn tiende a infinito, por lo que sabemos entonces que cn tiende a 0.
En este caso, el elemento general de la sucesión an:
an = bn*cn tiende a 0, y la sucesión resulta convergente en este caso. Para visualizarlo, planteamos el límite, y consideramos que la sucesión bn está acotada entre L1 y L2, con L1 y L2 números reales (consideramos que |L1| ≤ |L2|:
| Lím(n->+inf) an | = | Lím(n->+inf) bn*cn | = | Lím(n->+inf) bn * Lím(n->+inf) cn | =
= | Lím(n->+inf) bn | * | Lím(n->+inf) cn | ≤ |L2| * 0 = 0.
Luego, concluimos que las afirmaciones (a) y (b) son falsas, y que la afirmación (c) es verdadera.
Espero haberte ayudado.