Buenas, soy nuevo en el foro y tengo una duda de fracciones. El ejercicio me pide que pase de un numero decimal con periodo a una fracción irreducible, en mi caso es 2.47 siendo el 7 periódico. Alguien me puede explicar como se hace? Gracias

Tienes:
x = 2,4777777..., luego multiplicas por 100 (para que el periodo quede expresado en la parte entera), y queda:
100x = 247,777777..., luego multiplicas por 10 (para que el periodo quede solo en la parte decimal), y queda:
10x = 24,7777777..., luego planteamos la resta:
100x - 10x = 247,77777... - 24,7777777..., resolvemos en ambos miembros y queda:
90x = 223, hacemos pasaje de factor como divisor y queda:
x = 223/90
Espero haberte ayudado.
Hola. Hice este SEL:
mediante el método de Gauss-Seidel y me dio este resultado:
Lo he resuelto de manera correcta?, y, por otra parte, me piden resolverlo con una tolerancia de 10-3 cómo lo resuelvo con esa tolerancia?
Saludos !!
Podrian ayudarme con este ejercicio también. Se los agradeceria mucho.
El costo del alquiler de un
automóvil es igual a $500.00 diarios más $2.00 por cada kilómetro recorrido.
Los primeros 50 km son gratis. El alquiler no puede ser mayor a 31 días. Con
base en lo anterior:
a) Identifica todas las posibilidades respecto a los días de alquiler y los kilómetros recorridos.
b) Construye, para cada opción del inciso anterior, la función de costo del alquiler, de acuerdo con los días que duró el alquiler y el kilometraje total recorrido.
c) Escribe la regla de correspondencia que se aplica y su dominio de aplicación.

En funcion de x, siendo x los km recorridos, el coste del alquiler sería 2x si x>50 y 0 si 0<=x<=50
En funcion de d, siendo d los días transcurridos de alquiler, el coste sería 500.d si 0<=d<=31... Y la funcion no existiría si d>31
Y ya te he expresado las funciones a trozos que puedes representar para el apartado b..
Funciones a trozos
Buen día todos, ¿me podría ayudar alguien con el siguiente ejercicio?
De 15 ejercicios que me encargaron, este y otro se me han complicado. De antemano, muchas gracias.
1. Una forma de representar el hecho de que “si el precio aumenta, la demanda disminuye” es desarrollando una función lineal con pendiente negativa. Otra posibilidad es llevar a cabo el procedimiento para una función potencial con exponente negativo. Supongamos que la función de demanda de un teléfono móvil se representa como:
P(q) = 1000 / q + 10
Con base en lo anterior:
a) Elabora la gráfica de esta función para el intervalo: [0, 50].
b) Obtén la función de ingreso y elabora la gráfica para el mismo intervalo.
c) Observa que el ingreso parece estabilizarse, ¿cuál es ese valor?
d) Demuestra que la baja en el precio se ve compensada por el volumen de ventas.

"Solo" tienes que dar valores a q y representarla...
En cuanto a las demás dudas, lo siento, son de economia o matematicas financieras...
Hola David:
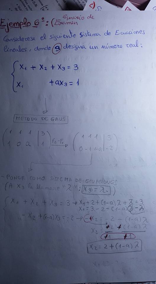
Te mando un ejercicio de un sistema de ecuaciones que he resuelto por mi misma y quisiera saber si esta bien hecho, y si al despejar X1 me he saltado algun paso o esta completo el resultado .
Espero que me puedas despejar mi duda gracias y si me he saltado algun paso que me explicaras lo que deberia de poner o de hacer.

Es muy conveniente estudiar dos casos por separado: 1) a = 0, 2) a ≠ 0.
1) Si a = 0, la matriz ampliada del sistema queda:
1 1 1 3
1 0 0 1
Permutamos las filas:
1 0 0 1
1 1 1 3
A la fila 2 le restamos la fila 1:
1 0 0 1
0 1 1 2
Luego, el sistema de ecuaciones equivalente queda:
x1 = 1
x2 + x3 = 2, de donde despejamos: x3 = -x2 +2
Luego, concluimos que el rango de la matriz es 2 e igual al rango de la matriz ampliada, por lo que el sistema resulta compatible indeterminado, y sus soluciones son:
x1 = 1
x2 ∈ R
x3 = -x2 +2
2) Si a ≠ 0, la matriz ampliada del sistema queda:
1 1 1 3
1 0 a 1
Permutamos las filas:
1 0 a 1
1 1 1 3
A la fila 2 le restamos la fila 1:
1 0 a 1
0 1 (1-a) 2
Luego, el sistema de ecuaciones equivalente queda:
x1 + ax3 = 1, de donde despejamos: x1 = -ax3 + 1
x2 + (1-a)x3 = 2, de donde depejamos: x2 = -(1-a)x3 + 2
Luego, concluimos que el sistema es compatible indeterminado, y sus soluciones quedan:
x1 = -ax3 + 1
x2 = -(1-a)x3 + 2
x3 ∈ R
para cualquier a ∈ R.
Espero haberte ayudado.
Buenos días, me ayudan con este ejercicio, me pide que halle las derivadas parciales en el punto (0;0), la profesora dijo que no existen pero si aplicó la definición me da 1, y si estudia la continuidad me da 0. No entiendo porque no existe. Gracias.![]()

Debes tener en cuenta la simplificación de la raíz cuadrada cuyo argumento es un cuadrado:
√(Δx2) = |Δx|
Luego tienes en el último paso del cálculo de la derivada parcial con respecto a x en (0,0):
Lím(Δx-->0) √(Δx2) / Δx = Lím(Δx-->0) |Δx| / Δx, luego planteamos los límites laterales:
a) Lím(Δx-->0-) |Δx| / Δx = Lím(Δx-->0-) -Δx / Δx = -1
b) Lím(Δx-->0+) |Δx| / Δx = Lím(Δx-->0+) +Δx / Δx = +1
Luego, como los límites laterales no coinciden, concluimos que la función derivada parcial con respecto a x no está definida en (0,0) (y puedes hacer un planteo análogo para verificar que la derivada parcial con respecto a y tampoco está definida en dicho punto).
Espero haberte ayudado.
alguien sabe como resolver este apartado sin utilizar metodo de gauss.
PD: Estoy en 1º bat ,mattes para las ciencis sociales, un metodo que no sea por gauss y que se adcue a mi nivel si es posible,gracias!
3x+2y+6z=1
2x+4y+3z=7
5x+3y+4z=7
Por sistema escalonado

Resolvemos el sistema de ecuaciones:
| 3x1 + 2x2 + 6x3 = 0 | |
| 2x1 + 4x2 + 3x3 = 7 | |
| 5x1 + 3x2 + 4x3 = 7 |
Dividir 1-ésima ecuación por 3 y definamos x1 por otras variables
| x1 = - (2/3)x2 - 2x3 | |
| 2x1 + 4x2 + 3x3 = 7 | |
| 5x1 + 3x2 + 4x3 = 7 |
En 2, 3 ecuación pongamos x1
| x1 = - (2/3)x2 - 2x3 | |
| 2( - (2/3)x2 - 2x3) + 4x2 + 3x3 = 7 | |
| 5( - (2/3)x2 - 2x3) + 3x2 + 4x3 = 7 |
después de la simplificación sacamos:
| x1 = - (2/3)x2 - 2x3 | |
| (8/3)x2 - 1x3 = 7 | |
| - (1/3)x2 - 6x3 = 7 |
Dividir 2-ésima ecuación por 8/3 y definamos x2 por otras variables
| x1 = - (2/3)x2 - 2x3 | |
| x2 = 0.375x3 + 2.625 | |
| - (1/3)x2 - 6x3 = 7 |
En 3 ecuación pongamos x2
| x1 = - (2/3)x2 - 2x3 | |
| x2 = 0.375x3 + 2.625 | |
| - (1/3)( 0.375x3 + 2.625) - 6x3 = 7 |
después de la simplificación sacamos:
| x1 = - (2/3)x2 - 2x3 | |
| x2 = 0.375x3 + 2.625 | |
| - 6.125x3 = 7.875 |
Dividir 3-ésima ecuación por -6.125 y definamos x3 por otras variables
| x1 = - (2/3)x2 - 2x3 | |
| x2 = 0.375x3 + 2.625 | |
| x3 = - (9/7) |
Ahora pasando desde la última ecuación a la primera se puede calcular el signidicado de otras variables.
Resultado:
| x1 = 8/7 | |
| x2 = 15/7 | |
| x3 = -9/7 |