¡Hola! ¿Son estas matrices elementales?
1 0 0 1 3 4 1 0 0 0 1 -1 0 0
2 1 0 0 1 2 1 1 0 0 0 1 0 0
3 0 1 0 0 1 0 0 1 0 0 0 1 0
0 0 1 1 0 0 0 1
Yo pienso que ninguna lo es, ¿es cierto?
PD: al adjuntar una imagen poniendo su URL, ¿es normal que no se vea antes de publicar el mensaje? ¿Una vez dado al botón envía tu pregunta la imagen se ve?
¡Muchas gracias de antemano! ;)

Son matrices elementales todas aquellas que se obtienen a partir de la matriz identidad, aplicando operaciones elementales.
a) A partir de la matriz I3 a la fila 2 se le sumó el doble de la fila 1, y luego a la fila 3 se le sumó el triple de la fila 1.
b) A partir de la matriz I3 a la fila 1 se le sumó el triple de la fila 2, luego a la fila 1 se le sumó el cuádruple de la fila 3, y luego a la fila 2 se le sumó el doble de la fila 3.
c) A partir de la matriz I4 a la fila 2 se le sumó la fila 1, y luego a la fila 4 se le sumó la fila 3.
d) A partir de la matriz I4 a la fila 1 se le restó la fila 2.
Por lo que tenemos, todas son matrices elementales.
Espero haberte ayudado.
Aaahh... yo tenía entendido que únicamente se podía aplicar UNA operación elemental, de forma que si sumaba una fila con otra ya no podía volver a hacerlo. Pero nada, todo aclarado ;) ¡¡¡Muchas gracias por tu respuesta!!! :))
PD: si alguien pudiese aclararme lo de la imagen estaría muy agradecida :)
Aunque ahora que lo compruebo en internet, según Wikipedia:
Una matriz elemental de orden n es el conjunto de matrices que se obtienen de la matriz identidad aplicando solo una operación elemental de fila o columna:
Disculpa el ejercicio dice asi
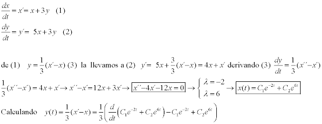
Dar solucion al sistema de ecuaciones diferenciales:
dx/dt=x+3y
dy/dt= 5x+3y
Espero puedas ayudarme a como resolverlo

Observa que si divides la segunda ecuación con la primera, obtienes:
dy/dx = (5x + 3y) / (x + 3y)
Luego proponemos: y = xw, de donde tenemos: dy/dx = w + xdw/dx, luego sustituimos y queda:
w + xdw/dx = (5x + 3xw) / (x + 3xw), extraemos factor común y simplificamos en el segundo miembro y queda:
w + xdw/dx = (5 + 3w) / (1 + 3w), hacemos pasaje de término y queda:
xdw/dx = (5 + 3w) / (1 + 3w) - w, extraemos denominador común en el segundo miembro y queda:
xdw/dx = (5 + 3w - w - 3w²) / (1 + 3w), resolvemos el numerador del segundo miembro y queda:
xdw/dx = (5 + 2w - 3w²) / (1 + 3w), luego hacemos pasajes de divisores y factores para separar variables y queda:
(1 + 3w)dw/(5 + 2w - 3w²) = dx/x, luego puedes integrar miembro a miembro (observa que a la izquierda debes aplicar fracciones parciales, y a la derecha es directa).
Queda para que continúes la tarea.
Espero haberte ayudado.
Hola,
¿Como se resuelve esta ecuación trigonométrica?
1= 2(sen x)2 - cos x

Va una orientación; sustituye sen²x = 1 - cos²x y queda:
1 = 2(1 - cos²x) - cosx, luego sustituyes: t = cosx y queda:
1 = 2(1 - t²) - t, distribuyes, haces pasajes de términos, ordenas y queda:
2t² + t - 1 = 0.
Luego, queda para que continúes la tarea (observa que t debe tomar valores comprendidos entre -1 y 1).
Espero haberte ayudado.
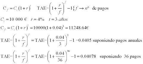
Hola me podeis ayudar con este ejercicio, la parte que no se resolver el la TAE, la primera ya la tengo hecha:
Se depositan 10 000 € a un interés compuesto del 4% anual durante tres años. Calcula el capital final si el periodo de capitalización es mensual.
¿Cuál es la T.A.E.?
Muchas gracias de antemano
Por q metodo podria resolver esta ecuacion diferencial dx/dt= x+3y. ??????????
Hola, siento ser tan pesado con diagonalizar y es la última duda que mando de esto, de diagonalizar pero sigo sin entender el siguiente ejercicio
no existe la raíz por lo tanto diagonalizable no es, tampoco es la matriz ya que para el mismo resultado sería la matriz identidad, lo que dudo es si es diagonal o invertible, muchas gracias, de verdad
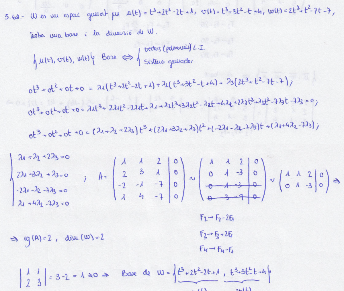
Muy buenas tardes a todos, espero que esten bien. Me gustaría que me corrigieran un ejercicio, para poder saber si lo he resuelto bien. El ejercicio me pide que encuentre una base y la dimensión del subespacio generado por los polinomios u(t), v(t) y w(t). Espero que entienden la letra. Si no enteinden alguna cosa no duden en preguntar.
Muchas gracias, les estoy muy agradecido.
Imagino que está bien, por lo menos el procedimiento, los que son lienaealmente dependiente y sº generador ( que son ) es base, y a partir de ahí atribiyéndole un parámetro, te salen las paramétricas, aunque primero, ese polinomio se pasa a base, y después de base a paramétricas, y un consejillo, yo pondría letras diferentes de lambda tal que alfa lambda beta gamma o mu, ya que después en cartesianas te puedes liar un poco, espero haberte ayudado