Hola a todos!! necesito ayuda con este ejercicio:
Hallar el numero de vectores linealmente independientes que hay en el conjunto
S = (1; 1; 1); (0; 2; 1); (2; 0; -3); (-1; 1; 2)
Muchas gracias por adelantado!!!!
Buenos días, tengo problemas para resolver el ejercicio 7 y 8. El gráfico que se ubica en la esquina inferior derecha del punto 8 no va, ese gráfico corresponde a otro ejercicio. Si pudieran hacer un vídeo para resolver la duda seria de mucha ayuda. Muchas gracias.

para comprobar la continuidad, f(x0) tiene que existir y ademas lim x+-->x f(x) = lim x--->x f(x) y ademas tiene que ser igual a f(x)
para este casi
f(1) tiene que existir y los limites laterales tienen que ser iguales entre si e igual a f(x)
primero f(1)=1
ahora veo los limites laterales
por derecha
lim x2=1
x-->1+
por izquierda
lim -2x+3= 1
x-->1-
ahora como los limites laterales coinciden y es igual a la funcion evaluada en dicho punto, podes asegurar la continuidad
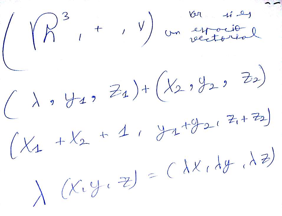
Hola, pido ayuda a los profesores Antonio y César, tengo este ejercicio y me piden demostrar las 7 propiedades que se tienen que cumplir para que este sea un espacio vectorial. Gracias![]()

tecnicamente con demostrar 3 ya demostrarias los demas axiomas
que el sub espacio sea distinto del nulo, osea que tenga algun elemento.
que la suma de dos elementos cualquiera del subespacio pertenecen al subespacio ("v" y "w" pertenecientes al subespacio (v+w) tambien pertenece al subespacio)
y que "k" real y v un vector de de tu subespacio ( k.v tambien pertenece al subespacio)
pero como bien dijo el maestro Antonio, es solo paciencia y aplicacion, mas no se puede reducir el trabajo.
Antonio me puedes ayudar? gracias
º Desde dos puntos A y B situados en la misma orilla de un río y distantes entre sí 80 m, se observa un punto C situado en la orilla opuesta, bajo ángulos de 60º y 45º, respectivamente. Calcula las distancias desde los puntos A y B al punto C.
(1,5 puntos)
5º Calcula los ángulos de un triángulo cuyos lados miden a=2cm; b=4cm; c=5cm
Echa un vistazo a Trigonometria - Resolucion de un triangulo
y también a Trigonometria -Teorema del coseno
A partir del paralelogramo ABCD donde:
A= (-2,-2)
B=(1,1)
C=(6,2)
D= (3,-1)
Decidme si estas respuestas son correctas:
El perímetro es 18,69.
Las coordenadas del punto M son (2,0)
¿Como puedo calcular el angulo interno del vértice de A i B?

Halla el vector AD y el vector Ab. Aplica producto escalar y sabrás el angulo que forman...
Por otro lado, tampoco es complejo hallar el perimetro si obtienes los vectores de cada lado y hallas su modulo..
No necesitas obtener el angulo que forman para ello..
PRODUCTO ESCALAR y VECTORIAL de dos vectores

Comencemos por plantear las componentes de los vectores:
AB = <3,3> = DC, y también AD = <5,1> = BC.
Luego planteamos sus módulos:
|AB| = |DC| = √(18) = 3√(2), y también |AD| = |BC| = √(26).
Luego, planteamos el perímetro del paralelogramo:
p = |AB| + |DC| + |AD| + |BC| = 2*3√(2) + 2√(26) = 6√(2) + 2√(26) ≅ 18,68.
Luego pasamos al cálculo de la medida del ángulo interior con vértice A, y procedemos como indica el colega David:
AB•AD = <3,3>*<5,1> = 3*5 + 3*1 = 18
AB•AD = |AB|*|AD|*cosα = 3√(2)*√(26)*cosα = 3√(52)*cosα = 3*2√(13)*cosα = 6√(13)*cosα.
Luego igualamos y queda la ecuación:
6√(13)*cosα = 18, de la que despejamos:
cosα = 3/√(13), luego componemos con la función inversa del coseno y llegamos a:
α ≅ 33,69°.
Luego, como el ángulo interior con vértice B es suplementario con α, tenemos:
β = 180° - α ≅ 146,31°.
Luego, observa que M es el punto medio de la diagonal con extremos en los puntos A y C, por lo tanto planteamos para las coordenadas del punto M:
M( (-2+6)/2 , (-2+2)/2 ), por lo que tenemos que las coordenadas del punto son: M(2,0).
Por lo que se puede apreciar, tus respuestas son correctas.
Espero haberte ayudado.
Antonio teniendo estos datos como hago la ecuación ?
α = 60°, β = 45°, γ = 75°, para los ángulos con vértices A, B y C, respectivamente.
Luego, observa que el lado opuesto al vértice C, lo denominamos c, tiene 80m de longitud, y que nos preguntan las longitudes de los otros dos lados: b (opuesto al vértice B) y a (opuesto al vértice A).
A partir del Teorema del Seno
a) senα / a = senγ / c, de donde puedes despejar a = c*senα / senγ
5- Puedes aplicar el Teorema de las tangentes, y llamamos al semiperímetro del triángulo: p = (a+b+c)/2.
tan(α/2) = V( (p-b)(p-c) / p(p-a) )
tan(β/2) = V( (p-a)(p-c) / p(p-b) )
tan(γ/2) = V( (p-a)(p-b) / p(p-c) )
Como hallo los cálculos? Ayudame porfavor tengo el viernes el examen
A partir del paralelogramo ABCD donde:
A= (-2,-2)
B=(1,1)
D= (3,-1)
¿Como encuentro las coordenadas del punto C? (Utilizando la igualdad de vectores que representa lados opuestos)

Hola Juan.
Sí, para hallar el perímetro, hay que sumar las distancias de los vectores, Perímetro = AB + BC + CD + DA.
Otra cosa es que al ser un paralelogramo, tienes que AB=CD, y BC=DA, por lo que puedes reducir la ecuación a: Perímetro = 2 AB + 2 BC
¿Así mejor?
Y no, no he encontrado ningún video de unicoos referente a paralelogramos y en relación a vectores.
Saludos.
Juan, está bien resuelto, perfecto...!!! Mi enhorabuena.
Es más, cuando lo he calculado para comprobar, me he dado cuenta que también puedes resolverlo de la siguente forma. Perímetro = 2 AB + 2 AD
Así, podrías calcular el perímetro sin la necesidad de calcular C.
O dicho de otra forma. Aunque calcules C, no tienes porqué utilizarlo para calcular el perímetro.
Saludos.
∈Buenos días.
Si algún unicoos puede ayudarme con esta desigualdad de valor absoluto:
Ι 2x - 7/3 Ι > 13/2 ; si continúo, digo: 2x - 7/3 < - 13/2 ∪ 2x - 7/3 > 13/2 no se continuar y no encuentro info que continúe.
Otra es esta que logro un resultado del revés al que me dan con el ejercicio:
Ι 8 -3x Ι > 32 ; 8 -3x < 32 ∪ 8 -3x > 32 ; -3x < -32 -8 ∪ -3x > 32 -8 ; -3x/3 < -40/3 ∪ -3x/3 > 24/3 ; x ¿>? ∪ x ¿>? x∈ ( -40/3, - ∞) y x∈ (8, + ∞)
Donde el resultado que me dicen que es correcto es:
x∈(-∞, -8) y x∈(40/3,∞) este revés no lo controlo.
Y esta, la que si logré hacer:
Ι 4x/5 +2 Ι < 12 ; -12 < 4x/5 + 2 < 12 ; -12*5 < 4x/5 +2*5< 12*5 ; -60 < 4x+ 10 < 60 ; -60 -10 < 4x +10 -10 < 60 ; -70 < 4x < 50 ; -70/4<4x/4<50/4 ; -70/4<x<5'/4
x∈ (-70/4,50/4)
Gracias.

Debes recordar cómo son los desarrollos de las desigualdades con valor absoluto (a es un número real positivo):
1) |u| < a ↔ -a < u < a; o también: |u| ≤ a ↔ -a ≤ u ≤ a.
2) |u| > a ↔ u < -a ∨ u > a; o también: |u| ≥ a ↔ u ≤ -a ∨ u ≥ a.
a) | 2x -7/3 | > 13/2, luego por el desarrollo (2):
2x - 7/3 < -13/2 ∨ 2x - 7/3 > 13/2, hacemos pasaje de término en ambas inecuaciones, resolvemos y quedan:
2x < -25/6 ∨ 2x > 53/6, dividimos por dos en ambos miembros en las dos inecuaciones, resolvemos y quedan:
x < -25/12 ∨ x > 53/12, luego expresamos como intervalos:
x ∈ (-∞ , -25/12) ∪ (53/12,+∞).
b) | 8 - 3x | > 32, luego por el desarrollo (2):
8 -3x < -32 ∨ 8 - 3x > 32, hacemos pasaje de término en ambas inecuaciones, resolvemos y quedan:
-3x < -40 ∨ -3x > 24, multiplicamos por -1/3 en ambas inecuaciones (observa que cambian los sentidos de las desigualdades), resolvemos y quedan:
x > 40/3 ∨ x < -8, luego expresamos como intervalos:
x ∈ (-∞,-8) ∪ (40/3,+∞).
c) Ι 4x/5 +2 Ι < 12, por el desarrollo (1):
-12 < 4x/5 + 2 < 12, multiplicamos por 5 en todos los términos de la doble inecuación (observa que no cambian los sentidos de las desigualdades):
-60 < 4x + 10 < 60, restamos 10 en todos los miembros de la doble inecuación, resolvemos y queda:
-70 < 4x < 50, dividimos por 4 en todos los miembros de la doble inecuación, resolvemos y queda:
-35/2 < x < 25/2, luego expresamos como intervalo y queda:
x ∈ (-35/2 , 25/2).
Espero haberte ayudado.

Repasando ahora es que no entiendo por que se tiene que multiplicar por - 1/3 en
| 8 - 3x | > 32 8 -3x < -32 U 8 - 3x > 32 ; -3x < -40 U -3x > 24 ; -1/3 (-3x) < -40 U -1/3 (-3x) > 24 ; x > 40/3 U x < -8 x ∈ (-∞,-8) ∪ (40/3,+∞).
Veo que -1/3 multiplica pero no entiendo por que. Es por ser un número negativo -3x o, por que es -1/3 y no otra fracción?
gracias

Y para el último en c) Ι 4x/5 +2 Ι < 12 -12 < 4x/5 + 2 < 12 multiplico por 5 todo pero, así? 5 · (-12) < 4x + (5 · 12) < 5 · 12 para luego quedar
-60 < 4x + 10 < 60 -60 -10 < 4x ++10 -10 < 60 -10 -70 < 4x < 50 - 70/4 < 4x/4 < 50/4 -32/2 < x < 25/2 x∈ (-35/2 , 25/2)
Por que en los primeros apuntes multiplique 5 · (-12) < 5 · (4x +12) < 5 ·12