Buenas, pueden echarme una mano con la siguiente integral: (3x-2)/(x^2+x+1) dx. La he resuelto en el mathematica pero no consigo comprender los pasos que sigue cuando pone que reescribe el integrando y multiplica la integral por valores dnd se supone que es equivalente pero yo no lo veo así. Muchas gracias de antemano.

Revisa este video y nos cuentas ¿ok?... Integral tipo Logaritmo neperiano + arcotangente
hola a todos
en primer lugar enhorabuena por vuestros videos, son de gran utilidad. He visto los videos de logaritmos y más o menos lo entiendo pero hay un ejercicio que salió en un examen que por más vueltas que le doy no lo consigo. log x 125
Así tal cual: no está igualado a nada, no se puede igualar a x. ¿Cómo se resuelve esto?
Muchísimas gracias, espero vuestra respuesta

Por favor, revisa tus apuntes, o enunciado, porque si la respuesta es 3 como dices, la pregunta debe estar formulada más o menos así:
¿Cuál es el logaritmo en base cinco de 125?, o te pueden pedir que calcules el logaritmo en base cinco de 125.
Si este es el caso, tienes (escribimos logaritmo en base cinco como LOG):
LOG(125) = LOG(5³) = aplicas la propiedad del logaritmo de una potencia = 3*LOG(5) = observa que el logaritmo en base cinco de cinco es igual a uno = 3*1 = 3.
Espero haberte ayudado.
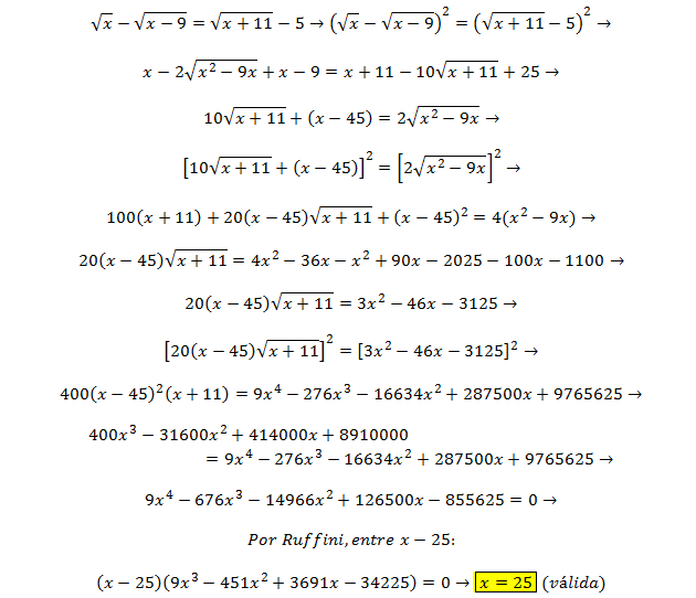
Buenas, disculpen las molestias. Soy nuevo en el foro pero le sigo desde hace bastante y la primera duda que tengo. Es sobre esta ecuación irracional. Es el apartado "c", llevo como un día y medio y no soy capaz de dar con una solución concreta. Agradecería su ayuda, gracias ♡
revisa este problema es casi similar y trata de investigar mas http://www.unicoos.com/video/matematicas/4-eso/polinomios/teorema-del-resto/teorema-del-resto
pero te dare idea de como se hace dice grado 2 entonces es de la forma ax2 +bx+c luego aplicas teorema del resto si no te sale aplica rufinni o horner sera lo mismo pero mas aplicativo luego haces lo mismo con el otro dato que no se ve ya sea dicho el caso pero con escepcion a su raiz que sera 3 y asi se halla los valores de a b y c.
Es tan simple como eso, compruebalo en tan sólo un minuto:
Mira este video desde 00:30 hasta 01:42
http://www.unicoos.com/video/matematicas/1-bachiller/limites-y-continuidad/limites-infinito-infinito/limite-infinito-menos-infinito-01