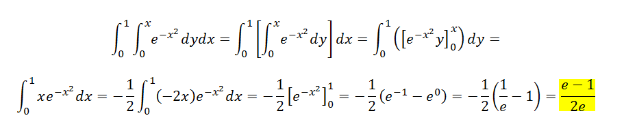
Me podeis ayudar con estos ejercicios? no me salen las soluciones...
1.-Hallar el volumen de un cuerpo contenido en el primer octante acotado por los planos coordenados y por z=2x^2+y^2+1, x+y=1. Solucion=3/4. Me sale 5/6...
2.- Integrar f(x,y)=abs(y-senx) en el conjunto D=[0,pi]x[0,pi], tiene que dar pi-2, y al hacer la integral doble me sale pi^2.
Gracias!

Debes tener en cuenta que las funciones logarítmicas son las funciones inversas de las exponenciales.
Recuerda que definimos a una función exponencial mediante la expresión:
f(x) = a^x, con a > 0 y a ≠ 1,
y como seguramente has estudiado en clase tienes que las funciones exponenciales son continuas en todo R, y que son:
estrictamente crecientes, si la base a es mayor que uno, y
estrictamente decrecientes si la base a está comprendida estrictamente entre 0 y 1.
Recuerda que el dominio de las funciones exponenciales es R, y que su imagen es el intervalo (0,+inf).
Por lo tanto, el dominio de las funciones inversas de las exponenciales, que son las funciones logarítmicas, tienen:
dominio: D = (0,+inf) (que coincide con la imagen de la funciones exponenciales),
imagen: I = (-inf,+inf) = R (que coincide con el dominio de las funciones exponenciales),
y son continuas en su dominio D.
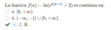
Luego, para el ejercicio de la imagen, has elegido la opción correcta: el dominio de la función es R, y la función es continua en R, porque:
la expresión x(x+1) corresponde a una función continua en R, luego:
la expresión: e^(x(x+1)) corresponde a una función continua en R, porque es composición de la función polinómica con la función exponencial natural, que son ambas continuas, luego:
la expresión: e^(x(x+1)) + 2 corresponde a una función continua en R porque es suma de expresiones de funciones continuas en R, y observa que los valores que toma pertenecen al intervalo (2,+inf), cuyos elementos son todos estrictamente positivos, luego:
la expresión de la función: f(x) = ln(e^(x(x+1)) + 2) indica que f es una función continua, ya que es composición de funciones continuas, y observa que el logaritmo natural puede ser evaluado para todo valor de x, ya que su argumento es estrictamente mayor que cero.
Espero haberte ayudado.
Muy buenos días unicoos. ¿Alguno de vosotros sabría explicarme por qué el rango de una matriz A no varía al multiplicarlo por una matriz invertible(es decir; rg(A)=rg(BA))? Si pudierais ponerme un ejemplo mejor que mejor. Gracias de antemano

Observa que el dominio de la función f es: Df = (-1,+inf), y que su Imagen es: If = (-inf,+inf) = R.
Observa que el dominio de la función g es: Dg = (-inf,+inf), y que su imagen es: Ig = (-1,+inf).
Luego, planteamos la función "g compuesta con f".
(f o g)(x) = f( g(x) ) = f( e^(2x-1) - 1 ) = ln( 1 + e^(2x-1) - 1 ) = ln( e^(2x-1) ) = 2x - 1.
Observa que los elementos g(x) pertenecen todos al dominio de la función f, por lo que tenemos para la función compuesta:
dominio: D = Dg = (-inf,+inf), imagen: I = If = (-inf,+inf).
Espero haberte ayudado.
Buen día me gustaría saber como resolver este ejercicio mediante la aplicación de la hipérbola, lo intenté planteando relación de triángulos pero no llego a la solución, muchas gracias!! (La solución del ejercicio es( ((80)/(3)) sqrt(34 ) , 100)

Ubica el origen de coordenadas en el punto medio entre las dos estaciones, y los focos en cada estación. Tienes:
F1(-100,0), ubicado en la Estación A, F2(100,0), ubicado en la Estación B, por lo que la longitud del semieje focal queda: c = 100.
Luego, tienes que la diferencia entre las distancias entre el punto P(x,y) (observa que y = 100) (*), que coincide con la ubicación del barco, y los focos F1 y F2 es igual a 160, por lo que tienes:
d(P,F1) - dP(F2) = 2a = 160, por lo que la longitud del semieje real queda: a = 80.
Luego puedes plantear la relación entre las longitudes de los semiejes de una hipérbola: b² = c² - a², reemplazas y queda:
b² = 100² - 80² = 10000 - 6400 = 3600 = 60², de donde tienes: b = V(3600) = 60, que es la longitud del semieje imaginario.
Luego, la ecuación de la hipérbola (observa que tiene eje real sobre el eje coordenado OX) queda:
x²/80² - y²/60² = 1.
Luego reemplazamos las ordenada del punto P en la ecuación de la hipérbola, según la igualdad señalada (*), y queda:
x²/80² - 100²/60² = 1, resuelves a la izquierda:
x²/6400 - 25/9 = 1, haces pasaje de término, resuelves a la derecha y queda:
x²/6400 = 34/9, haces pasaje de divisor como factor, y queda:
x² = 6400*34/9, haces pasaje de potencia como raíz, distribuyes a la derecha, resuelves factores racionales y queda:
x = 80*V(34)/3 = 155,49 (aproximadamente),
por lo que concluimos que el barco está ubicado en el punto de coordenadas: P(80*V(34)/3,100).
Espero haberte ayudado.