En que cuadrante se encuentra?
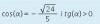
Dada la ecuación sin2(x) + cos2(x) = 1
-Calcula el seno
Ahora calcula la tangente
-En principio el problema es fácil però por mucho que lo hago los resultados no me coinciden. Necesito ayuda, llevo horas atascado

Observa que el coseno toma valores negativos en el 2° y en el tercer cuadrante, y la tangente toma valores positivos en el primer y en el tercer cuadrante, por lo tanto el ángulo A (alfa) pertenece al tercer cuadrante (observa que el seno toma valores negativos en este cuadrante).
Luego, a partir de la identidad pitagórica:
( cosA )^2 + ( senA )^2 = 1, reemplazamos y queda:
( -V(24)/5 )^2 + ( senA )^2 = 1, resolvemos el primer término y queda:
24/25 + ( senA )^2 = 1, hacemos pasaje de término:
( senA )^2 = 1 - 24/25, resolvemos a la derecha:
( senA )^2 = 1/25, hacemos pasaje de potencia como raíz (elegimos la solución negativa):
senA = - V(1/25), resolvemos y llegamos a:
senA = - 1/5.
Luego, planteamos la identidad trigonométrica para la tangente:
tanA = senA / cosA, reemplazamos y queda:
tanA = (- 1/5) / ( -V(24) / 5 ), resolvemos y queda:
tanA = + 1 / V(24), racionalizamos y llegamos a:
tanA = V(24) / 24.
Espero haberte ayudado.
Hola Unicoos. Me dan una mano con este ejercicio? No entiendo porque dice R2 y tiene 3 vectores, no necesito solo 2?? Porque lo que hice con los otros apartados del mismo ejercicio fue hallar la expresión de la transformación, haciendo por ej si era de R2 => (x,y) = x(u1) + y(u2). Pero aca tengo 3 vectores, no lo entiendo. Gracias!!

Observa que el dominio de la transformación es R^2, que está formado por vectores de dos componentes reales, y que el codominio es R^3, que está formado por vectores de tres componentes reales.
Observa que podemos establecer la siguiente combinación lineal:
<5,2> = 2<1,1> + 3<1,0>
Luego, si suponemos que existe la transformación lineal planteamos:
f(5,2) = 2f(1,1) + 3f(1,0), luego reemplazamos a la derecha y queda:
f(5,2) = 2<2,1,1> + 3<0,2,0>, resolvemos los productos entre escalares y vectores y queda:
f(5,2) = <4,2,2> + <0,6,0>, resolvemos la suma entre vectores y llegamos a:
f(5,2) = <4,8,2>, que verifica la condición del enunciado, por lo que concluimos que si existe la transformación lineal.
Espero haberte ayudado.
inventa un polinomio de cuarto grado que tenga solo dos raíces : x=2 y x=-3

Si el enunciado es que tenga solo esas dos raíces reales, entonces podría ser (observa que no está especificada la multiplicidad de las raíces):
P(x) = (x-2)(x+3)^3 (raíz simple: 2, y raíz triple: -3),
P(x) = (x-2)^2 * (x+3)^2 (raíz doble 2, y raíz doble: -3),
P(x) = (x-2)^3 * (x+3) (raíz triple: 2, y raíz simple: -3).
Espero haberte ayudado.
Muy buenas tardes unicoos. ¿Cómo podría saber el determinante de una matriz al cubo (det(A^3)), sabiendo que A es una matriz 3*3 cuyo determinante es 2 (det(A)=2)? Gracias de antemano.
1er ejercicio:
Inventa un polinomio de tercer grado cuyas raíces sean 3, -2 y -1
2do ejercicio:
inventa un polinomio de cuarto grado que no tenga raíces
¿Alguien que me sepa ayudar? Gracias de antemano
Para el primer ejercicio tienes que tener en cuenta que para obtener la raíz "3" tienes que poner el factor (x-3), para "-2" el (x+2) y para el "-1" (x+1)...entonces para obtener el polinomio de tercer grado que contenga esas tres raíces tienes que agrupar los 3 e igualar la ecuación resultante a 0, de manera que:
(x-3)(x+2)(x+1) = 0
multiplicamos 1er y 2º parentesis: (x2 + 2x -3x - 6) (x+1)
terminamos de quitar los paréntesis: x3 + x2 - x2 - x - 6x - 6 = 0
agrupamos para obtener el polinomio que nos pedían: x3 - 7x - 6 = 0