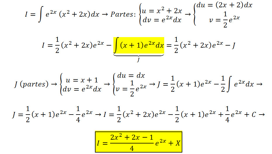
Tengo una duda en como proseguir la ultima parte de la ecuacion diferencial, la debo hacer por integracion por partes? 
Sabemos que un vector propia de la matriz a
2 1
-3 6 es 1,3 Cual es el valor propio de la matriz a asociado al vector propio?
Profe, podrías hacer un video sobre el teorema de Pi??estoy en 1º de carrera y no entiendo muy bien el teorema de pi y como resolver problemas....
Gracias!! UN SALUDO MUY GRANDE!!
Como se resolvería el siguiente sistema de ecuaciones?
senx+seny=1
cosx+cosy=1

Va una orientacion:
Despeja seny de la primera ecuacion, y despeja cosy de la segunda. Luego sustituye en la ecuacion pitagorica:
(seny)^2 + (cosy)^2 = 1.
Luego desarrolla los binomios elevados al cuadrado y continua.
Y si te es necesario, puedes volver a consultar.
Espero haberte ayudado.