Hola, en este ejercicio me piden hallar la ecuacion de la recta tangente y normal al grafico de una funcion expresada en forma implicita en el punto (0,1). ¿Esta bien hecho asi? ¿A que se refiere con normal?

Debes corregir el paso de la derivación implícita. Tenemos la ecuación:
y*x^4 + e^x * y^3 = 1, luego derivamos con respecto a x (observa que tenemos producto en cada término):
y ' * x^4 + y * 4x^3 + e^x * y^3 + e^x * 3y^2 * y ' = 0, hacemos pasajes de términos:
y ' * x^4 + e^x * 3y^2 * y ' = - y * 4x^3 - e^x * y^3, extraemos factor común a la izquierda:
y ' * ( x^4 + e^x * 3y^2 ) = - y * 4x^3 - e^x * y^3, hacemos pasaje de factor como divisor y llegamos a:
y ' = ( - y * 4x^3 - e^x * y^3 ) / ( x^4 + e^x * 3y^2 ), con la condición: x^4 + e^x * 3y^2 distinto de 0.
Luego, evaluamos para el punto Po(0,1) y tenemos: y ' = -1/3.
Luego, para la recta tangente tienes la ecuación:
y - 1 = (-1/3)*(x - 0).
Luego, para la recta normal, que es perpendicular a a la recta tangente (recuerda la condición de perpendicularidad entre rectas), tienes la ecuación:
y - 1 = 3*(x - 0).
Espero haberte ayudado.

Lo sé amigo Antonio, pero no lo incluí por lo que para el dominio de la función el denominador tiene que ser mayor o distinto de cero, en mi solucionario, en este ejercicio trae como
solución los 3 intervalos que puesto a probar, en los dos últimos va bien pero, en el primero queda con signo negativo:/

Observa que si se trata de plantear el dominio de la función, ya lo tienes resuelto.
Pero, si se trata del signo de los valores de la función, ahí debes agregar un nuevo punto de corte como indica el colega Antonio, x = 1/3 (observa que pertenece al dominio y que para él la función toma el valor cero), y subidvidir el intervalo al que pertenece.
Espero haberte ayudado
Hola unicoos! Necesito ayuda con este ejercicio.
Las posiciones del movimiento de una nave espacial vienen identificados por los siguientes vectores: Ā = (3 i – 4 j + 4 k) y Ē = (2 i + 3 j – 7 k). Determinar:
a) el valor numérico de los vectores definidos como: C = (Ā + Ē) y D = (2 Ā – Ē).
b) Exprese los vectores C y D en función de sus componentes rectangulares.-
No entiendo por qué los vectores son 3i o 4j.. osea, un numero acompañado de una letra.
Gracias!

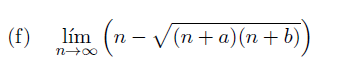
Debes comenzar por multiplicar y dividir por la expresión "conjugada", ya que el límite es indeterminado, lo haces y, luego de distribuir y simplificar, queda:
Numerador = N = n^2 - (n+a)(n+b) = distribuyes = n^2 - n^2 - an - bn - ab = n(-a - b - ab/n)
Denominador = D = n + V( n^2 * (1 + a/n)*(1 + b/N) ) = n + V(n^2)*V( (1 + a/n)*(1 + b/n) ) = n + n*V( (1 + a/n)*(1 + b/n) ) = n*( 1 + .V( (1 + a/n)*(1 + b/n) ) )
Luego, la expresión, luego de simplificar los factores n, queda: N/D = (-a - b - ab/n)/( 1 + V( (1 + a/n)*(1 + b/n) ).
Luego, pasamos al cálculo del límite:
Lím(x-->+inf) (- a - b - ab/n)/( 1 + V( (1 + a/n)*(1 + b/n) ) ) = (- a - b)/( 1 + V(1*1) = (-a -b)/(1 + 1) = (- a - b)/2.
Espero haberte ayudado.
Profe mira lo intente por el método de ecuación oracional para obtener los intervalos con los que hacemos la evaluación y me resultó una ecuación de tercer grado no se si se puede obtener los vértices de este modo.Y otra cosa quisiera ayudar a los demás y no sé como responder a sus dudas por favor enseame odime donde escribo

¿ecuación oracional? ¿vertices en una ecuación de tercer grado? ¿¿??... ¿Nos dejas una foto con el enunciado LITERAL y tu duda exacta?
En cuanto a ayudarnos en los foros, sería genial. Basta con que pulses el boton azul con la flechita en la pregunta que quieras de los foros y que dejes tu respuesta. Un abrazo!
Hola Unicoos sigo cometiendo errores en este tipo de operaciones, y esta vez también, podrían ayudame?

Observa el primer agrupamiento:
1/(1+x) + 2x/(1 - x^2) = factorizamos el denominador del segundo término = 1/(1+x) + 2x/( (1+x)(1-x) ) = extraemos denominador común:
= ( 1*(1-x) + 2x*1 ) / ( (1+x)(1-x) ) = ( 1 - x + 2x ) / ( (1+x)(1-x) ) = (1+x) / ( (1+x)(1-x) ) = simplificamos = 1/(1-x)
El segundo agrupamiento lo resolviste bien. Luego, vamos con el producto de agrupamientos:
1/(1-x) * (1-x)/x = 1*(1-x) / ( (1-x)*x ) = simplificamos = 1/x.
Espero haberte ayudado.