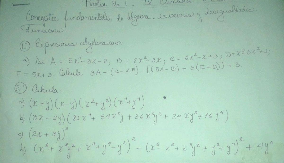
Necesito ayuda con la pregunta c) del problema que se muestra, no logro sacar el área que me piden, de antemano gracias.

Lo primero es que esboces ambas graficas. Se supone que sabes representar y=senx e y=sen(2x)...
Lo siguiente es que obtengas los puntos de intersección entre ambas, resolviendo la ecuacion senx=sen(2x)... senx=2senx.cosx... Tienes una identica...

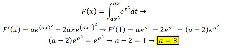
Una precisión de cálculo: cuando evaluamos la derivada de la función queda:
F ' (1) = a*e^(a^2) - 2a*e^(a^2) = - a*e^(a^2).
Luego tenemos:
- a*e^(a^2) = e^(a^2), luego:
- a*e^(a^2) - e^(a^2) = 0, luego:
e^(a^2) * (- a - 1) = 0, luego (observamos que e^(a^2) > 0):
- a - 1 = 0, y finalmente:
-1 = a.
Espero haber ayudado.
alguien me ayuda con este ejercicio lo encontre y me parecio interesante. para seguir aprendiendo. pero no logro encararlo me desconcierta las opciones

Observa que puedes aplicar el Teorema Fundamental del Cálculo Integral y tienes: F ' (x) = 3*e^(- x^2 + 4) (*).
Luego, observa en la expresión de la función F(x), que el argumento de la integral es estrictamente positivo, por lo tanto para que tengamos F(x) = 0 x debe tomara el valor 2, ya que quedaría F(2) definida con una integral entre 2 y 2, que es igual a 0.
Luego, para la función inversa tenemos: F^(-1) (y) = x, y si y = 0 tenemos que x = 2.
Luego, has visto en clase cuál es la relación entre la derivada de una función y la derivada de su inversa: F^(-1) ' (y) = 1 / F ' (x),
por lo que tenemos para nuestro ejercicio:
F^(-1) ' (0) = 1 / F ´(2) (**)
luego, a partir de la ecuación señalada (*) tenemos que: F ' (2) = 3*e^(- 2^2 + 4) = 3*e^0 = 3*1 = 3.
Por último, reemplazamos en la igualdad señalada (**) y llegamos a:
F^(-1) ' (0) = 1 / F ´(2) = 1/3.
Espero haberte ayudado.
Hola, este es muy fácil, pera la notación que hay que usar en las proposiciones me acaba liando. Gracias
Ahí te va el apartado a), está "analizado" utilizando cálculo lógico que es más rápido....pero si te dejan con tablas de verdad más fácil aún, aunque te lleva más tiempo
A continuación llegamos a la conclusión a partir de las premisas (P1 y P2) simbolizando cada forma enunciatica con las consonantes p,q y r:
Simbolización
p= Bernardo se casa
q= Florinda se suicida
r= Bernardo se hace monje
Formalización
(1) p --->q P1
(2) q <---> ¬r P2
(3) (q ---> ¬r) ^ (¬r ---> q) (Eliminación del coimplicador) 2
(4) q---> ¬r (Eliminación de la disyunción) 3
(5) p---> ¬r Conclusión (Silogismo) 1,4
Hola, muchachos. Estoy pasandola mal con una integral. Creo que es por partes.
¿Alguien puede darme una mano? La integral es 3.cosnπx/5
Muchas gracias de antemano.

Si la función a integrar con respecto a x es: f(x) = 3*cos(n*pi*x/5), puedes aplicar la sustitución (cambio de variable):
w = n*pi*x/5, de donde tienes: dw = n*pi*dx/5, de donde también tienes: ( 5/(n*pi) )*dw = dx, luego sustituyes y la integral queda:
I = 3 * ( 5/(n*pi) ) * Integral( cosw*dw ) = ( 15/(n*pi) ) * senw + C = ( 15/(n*pi) ) * sen(n*pi*x/5) + C.
Si la expresión de la función a integrar es otra, por favor vuelve a consultar.
Espero haberte ayudado.
Antonio, esa es la función a integrar. ¿Te molestaría hacerlo en papel?
Si eres un experto y puedes hacerla por partes, lo preferiría que lo hicieras así porque me familiarizo más con esa forma de integrar.
Yo utilizo el manual de Schaum para esas integrales pero no la encuentro.
Muchas gracias.
Hola, es la primera vez que entero en Unicoos y tengo una pequeña duda con los vídeos. Hay alguno relacionado con la ley de signos y operaciones combinadas de números enteros? He mirado 1*1 y no encuentro nada.
Muchas gracias.
Cristina
Podrías buscar aquí:
http://www.unicoos.com/cursos/1-eso/matematicas
Si tienes un ejercicio concreto que no puedes hacer lo mandas.