Hola unicos.. He tenido un problema en resolver la integral ∫ (x^3+2x^2+5x+8) ÷ x[(x^2+4)^2]dx he intentado con fraccion simple pero no logro entenderlo, si tienen alguna idea seria de gran ayuda.. Gracias!!
Hola, ¿No hay videos sobre el teorema de Bolzano y el teorema de Weierstrass?
Esque no los entiendo....
Hola alguien me podria ayudar con este ejercicio? hay que derivar utilizando la regla de la cadena.... pero no se ni como empezar... me complica mucho el ln4(√(3x2-1))
ln4(√(3x2-1))

Otra forma es ir dando nombres a los sucesivos argumentos (observa que escribimos a la raíz cuadrada como potencia con exponente 1/2):
f(x) = A^7, luego: f ' (x) = 7A^6 * A '
A = cosB, luego: A ' = - senB * B '
B = C^4, luego: B ' = 4C^3 * C '
C = lnD, luego: C ' = (1/D) * D '
D = E^(1/2), luego: D ' = (1/2)E^(-1/2) * E '
E = 3x^2 - 1, luego: E ' = 6x.
Luego puedes ir sustituyendo expresiones "desde abajo hacia arriba" y tendrás la expresión de la función derivada de f(x).
Espero haberte ayudado.
Hola,
¿me ayudan con este ejercicio?:
# Probar que si f es una función derivable en todo R con f(0) = 0 y |f'(x)|<1 para todo x∈R, entonces: |f(x)|<|x| para todo x≠0
Gracias y saludos
Buenas tardes, aquí va mi pregunta:
El padre de Juan le dice a su hijo que le va a otorgar dos monedas de curso legal. “Entre las dos suman tres euros, pero una de ellas no es de un euro”. ¿Cuáles son las monedas?
PD: supongo que los problemas de lógica pueden estar en el foro de matemáticas.

Observa que la palabra castellana "pero" refiere a una conjunción entre dos proposiciones:
p: "las dos monedas suman tres euros"
q: "una de ellas no es de un euro", entonces tenemos que la otra moneda si debe ser de un euro (observa que no puede tener valor mayor que un euro), por lo que la primera moneda es de dos euros.
Recuerda que la proposición compuesta con conjunción (indicamos conjunción con "y"): p y q es Verdadera solamente si p es Verdadera y q también es Verdadera.
Espero haberte ayudado.
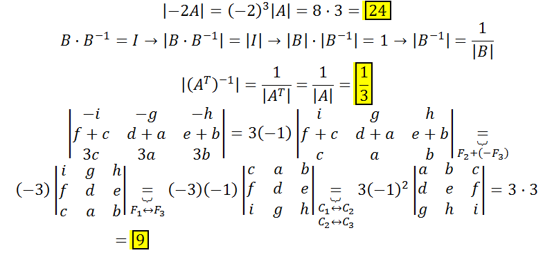
Hola Unicos, buen dia, he tratado de resolver este problema pero no he podido, que propiedad para los determinantes puedo usar en este ejerccio?

No es ninguna propiedad de los determinantes, sino de las matrices.
La inversa del producto de dos matrices invertibles es el producto de las inversas (en orden cambiado).
Halla A·B y luego su inversa.
Por otro lado, halla la inversa de B, luego la inversa de A y multiplícalas.
Tiene que salir lo mismo.