Buenas tardes, ayuda con estas derivadas enesimas

Deriva sucesivamente y nos cuentas ¿ok?... El trabajo duro debe ser el tuyo
Es muy posible te ayuden estos dos vídeos...
Sabrían decirme por qué el limite de lnx-1= -1 cuando x tiende a 1 por la derecha ?
Me explicais que es un span de vectores ? Gracias

El span de un conjunto de vectores es el conjunto de todas las posibles combinaciones de ellos. En otras palabras, es el subespacio vectorial (o variedad lineal) que generan.
En particular:
El span de un vector es la recta vectorial (o cápsula lineal) que genera.
El span de dos vectores no colineales es el plano vectorial que generan.
Etc.
Hola Unicoos he realizado esta ecuación pero no me da la solución correcta, me podrían decir en qué fallé?
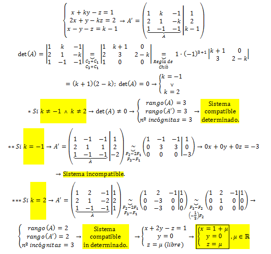
Hola buenas tardes, me ayudarían a discutir este sistema? Yo resolviendo llegue a la conclusión de:![]()
Si k es distinto de -1 y 2, el determinante de A es distinto de 0, con lo cual el Rango de A = 3 !
! ------------ SCD
Si k es destino de 2, el determinante de A* es distinto de 0, con lo cual es Rango de A = 3 !
Muchas gracias.

Hola, bueno como dices si k es distinto de -1 y 2, el determinante de A es distinto de 0, con lo cual el Rango de A = 3 por lo tanto el sistema tendrá unica solucion. Concuerdo contigo.
Para k=2, Rango=2 que es menor al numero de incognitas (3), por lo que el sistema tiene infinitas soluciones.
Para k=-1, Rango(A)=2 y rango(A*)=3 por lo que el sistema no tiene solucion.
Y luego evaluando k=-2 se concluye que z=5, y=-4, x=-2
Hola Unicoos,
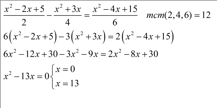
He hecho estas identidades pero no me da la solución, me podrían decir dónde he fallado?