Buenas Tardes alguien puede ayudarme con este ejercicio.
De un grupo de 370 alumnos del programa EPE, 20 estudian Administración y Marketing, la mitad de los que solo estudian Marketing estudian únicamente Administración y el doble de los que solamente estudian Marketing estudian otras carreras. Determine la cantidad de alumnos que estudia Marketing pero que no estudia Administración.
Hola necesito ayuda con este ejercicio, se puede resolver en los Reales??
Arctan(1/x)+Arctan(2/x1)=π/2
Muchas Gracias :)

Si la ecuación es: arctn(1/x) + arctan(2/x) = pi/2, comencemos por denominar:
a = arctan(1/x) y observa que tana = 1/x (*)
b = arctan(2/x) y observa que tanb = 2/x (**).
Luego, sustituimos y la ecuación queda:
a + b = pi/2, hacemos pasaje de término:
b = pi/2 - a, luego tomamos tangente en ambos miembros:
tanb = tan(pi/2 - a), aplicamos identidad para ángulo complementario:
tanb = cotga, aplicamos identidad para la cotangente:
tanb = 1 / tana, hacemos pasaje de divisor cmo factor:
tana * tanb = 1, sustituimos a partir de las ecuaciones señaladas (*) y (**):
(1/x)*(2/x) = 1, resolvemos en el primer miembro:
2 / x^2 = 1, hacemos pasaje de divisor como factor y queda:
2 = x^2, que nos presenta dos soluciones:
x1 = - V(2), que nos conduce a dos posibles soluciones principales para las incógnitas a y b (expresadas en grados sexagesimales), a partir de las ecuaciones señaladas:
S1: a1 = -35,3°, b1 = 125,3°
S2: a2 = 144,7°, b2 = - 54,7°
x2 = + V(2), que nos conduce a otras dos posibles soluciones principales para las incógnitas a y b (expresadas en grados sexagesimales), a partir de las ecuaciones señaladas:
S3: a3 = 35,3°, b3 = 54,7°
S4: a4 = 215,3°, b4 = -125,3°.
Por lo tanto, las soluciones de la ecuación inicial son: x1 = - V(2) y x2 = V(2),
Espero haberte ayudado.

Disculpe Señor Antonio Silvio pero no entendí por qué tang(pi/2-a) es igual a cotangente de a podría explicarmelo porfavor.
Muchas Gracias y perdón lo otro tengo entendido que la periodicidad de la función tangente es de pi verdad y en pi/2 la función se indetermina ese es uno de mis mayores problemas con el ejercicio.
Perdón y Muchas Gracias :)

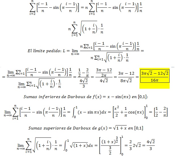
Observa que todas las funciones son continuas en el conjunto de los números reales. Luego, debes buscar valores de x consecutivos para los que cada función tome valores de y con distintos signos:
a) f(0) = -1 < 0 y f(1) = 2 > 0. por lo tanto existe al menos una raíz en el intervalo (0,1).
b) f(-2) = 3 > 0 y f(-1) = -2 < 0, por lo tanto existe al menos una raíz en el intervalo (-2,-1).
c) f(-1) = 2 > 0 y f(0) = - 1 < 0, por lo tanto existe al menos una raíz en el intervalo (-1,0).
En todos los casos hemos aplicado el teorema del valor intermedio.
Espero haberte ayudado.

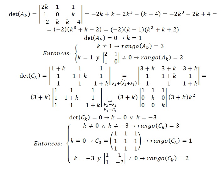
Así es. Cuando desarrollas el determinante te queda un polinomio con variable k, lo igualas a cero para encontrar los valores para los cuales el rango no es 3, y continúas con dichos valores para verificar si el rango es 2 o 1.
Por ejemplo, en el primer ejercicio el determinante queda:
|A| = 0 + k - 2k - (0 + k - 4 + 2k^3) = - 2k^3 - 2k + 4.
Luego, igualamos a 0 y nos queda la ecuación característica:
- 2k^3 - 2k + 4 = 0, observa que una de sus raíces es k1 = 1, luego divides por (k-1) por medio de la regla de Ruffini y queda:
-2k^2 - 2k - 4 = 0, observa que sus raíces no son reales.
Por lo tanto ya sabemos que el rango de la matriz es 3, para k distinto de 1.
Luego, para k igual a 1, la matriz queda:
| 2 1 1 |
| 1 0 1 |
| -2 1 -3 |
cuyo determinante es igual a 0, luego, podemos tomar el subdeterminante formado por los dos primeros elementos de las dos primeras filas y queda:
| 2 1 |
| 1 0 |
lo desarrollas y verás que es igual a -1, distinto de 0.
Por lo tanto, el rango de la matriz es 2 para k = 1.
Espero haberte ayudado.
Alguien me podría ayudar con este ejercicio de conjuntos en el que utilizando las propiedades tenga que demostrar la siguiente igualdad?Muchas gracias de antemano.

Vamos con una orientación (indicamos diferencia simétrica como ds).
(-->) Sea x perteneciente a A ds B, entonces <por definición de diferencia simétrica>,
(x pertenece a A y x no pertenece a B) o (x no pertenece a A y x pertenece a B) , entonces <por definición de diferencia>
x pertenece a (A-B) o x pertenece a (B-A), entonces <por definición de unión)
x pertenece a (A-B) u (B-A), entonces <por definición de inclusión>
(A ds B) c (A-B)u(B-A) (*)
(<--) Sea x perteneciente a (A-B) u (B-A), entonces <por definición de unión>,
x pertenece a (A-B) o x pertenece a (B-A), entonces <por definición de diferencia>,
(x pertenece a A y x no pertenece a B) o (x pertenece a B y x no pertenece a A), entonces < por definición de diferencia simétrica>,
x pertenece a (A ds B), entonces <por definición de inclusión>
( (A-B)u(B-A) ) c (A ds B) (**)
Finalmente, a partir de las expresiones señaladas (*) y (**) tenemos:
(A ds B) = (A-B)u(B-A).
Espero haberte ayudado.
Hola, agradecería ayuda para este ejercicio de matemáticas de 4º de la ESO sobre ecuaciones exponenciales. Gracias!
1/(2^(x-3))=5-2^(x-1)
Nota: No podemos resolverla usando logaritmos

Comencemos con pasaje de divisor como factor
1 = ( 5 - 2^(x - 1) ) * 2^(x - 3), distribuimos:
1 = 5 * 2^(x - 3) - 2^(x - 1) * 2^(x - 3), aplicamos propiedades de las potencias con bases iguales:
1 = 5 * 2^x * 2^(-3) - 2^(x - 1 + x - 3),
resolvemos factor en el primer término, y reducimos términos semejantes en el exponente del segundo término:
1 = 5 * 1/8 * 2^x - 2^(2x - 4),
resolvemos factores en el primer término y aplicamos propiedad de potencias con bases iguales en el segundo término:
1 = (5/8) * 2^x - 2^(2x) * 2^(-4), resolvemos factor en el segundo término:
1 = (5/8) * 2^x - (1/16)*2^(2x), aplicamos propiedad de la potencia cuya base es otra potencia:
1 = (5/8) * 2^x - (1/16) * ( 2^x )^2, multiplicamos en todos los términos por 16:
16 = 10 * 2^x - (2^x)^2.
Luego hacemos la sustitución (cambio de incógnita): w = 2^x y queda:
16 = 10w - w^2, hacemos pasajes de términos:
w^2 - 10w + 16 = 0, que es una ecuación polinómica cuadrática, aplicas la fórmula resolvente y sus soluciones son:
w1 = 2, de donde tienes: 2^x = 2,^1, y luego: x1 = 1
w2 = 8, de donde tienes: 2^x = 2^3, y luego: x2 = 3
Puedes verificar que las soluciones x1 = 1 y x2 = 3 verifican la ecuación exponencial inicial.
Espero haberte ayudado.

Veamos las fracciones por separado:
b^2 / (2ab + b^2) = factorizamos en el denominador = b^2/( b(2a + b)) = simplificamos = b/(2a + b)
(ab^2 - 4a^3)/(8a^2 - 2b^2) = factorizamos = a(b^2 - 4a^2)/(2(4a^2 - b^2) = tomamos factor común -1 en el denominador =
= a(b^2 - 4a^2)/(- 2(- 4a^2 + b^2) = simplificamos = a/(-2) = - (1/2)a
1/(4a + 2b) = factorizamos = 1/(2(2a + b)).
Luego planteamos la suma de las dos fracciones del numerador:
b^2 / (2ab + b^2) + (ab^2 - 4a^3)/(8a^2 - 2b^2) = b/(2a + b) - (1/2)a = tomamos mínimo común denominador =
= (2b - a(2a + b)) / (2(2a + b)) = distribuimos en el numerador = (2b - 2a^2 - ab) / (2(2a + b)).
Luego dividimos por la tercera fracción y queda:
( (2b - 2a^2 - ab) / (2(2a + b)) ) / ( 1/(2(2a + b)) ) = resolvemos =
= (2b - 2a^2 - ab)*2*(2a+b) / ( 2*(2a + b) ) = simplificamos factores =2b - 2a^2 - ab.
Espero haberte ayudado.