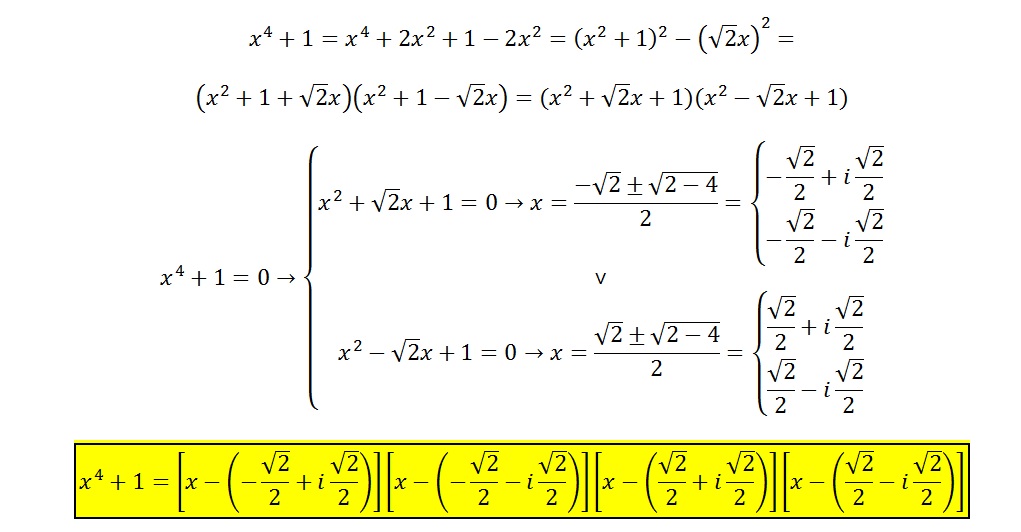
alguien me puede ayudar a factorizar X^4+1, en números complejos?
Gracias!!

Te doy un par de pistas, y si sigues teniendo problemas lo reintentamos de otra manera:
-Si despejamos x nos que que x es igual a la raíz cuadrada de i (no digo nada del signo)
-¿Cuántas soluciones tiene que tener la ecuación si es de grado cuarto?
-Si dibujas las soluciones en el plano complejo, los puntos serán los vértices de un polígono regular.
-Una expresión útil en análisis complejo es que i = e^((pi/2)* i)
¡Suerte!

Observa que i^2 = -1, luego:
x^4 + 1 = x^4 - (-1) = (x^2)^2 - i^2 = diferencia de cuadrados = (x^2 + i)(x^2 - i) (*)
Luego, trabajamos cada factor por separado:
Observa que i = (1)(90°) en forma polar, y que sus raíces son:
x1 = (1)(45°) = en forma trigonométrica = cos45° + isen45° = en forma binómica = (V(2)/2)(1 + i)
x2 = (1)(225°) =en forma trigonométrica = cos225° + isen225° = en forma binómica = (V(2)/2)(-1 - i)
Observa que -i = (1)(270°) en forma polar, y que sus raíces son:
x3 = (1)(135°) = en forma trigonométrica = cos135° + isen135° = en forma binómica = (V(2)/2)(-1 + i)
x4 = (1)(315°) = en forma trigonométrica = cos315° + isen315° = en forma binómica = (V(2)/2)(1 - i).
Por último, continuamos la factorización que hemos interrumpido en la indicación (*) y queda:
x^4 + 1 = (x - x1)(x - x2)(x - x3)(x - x4).
Espero haberte ayudado.
Estudiar la monotonía de la función f(x)=x^3 en el punto de abscisa x=0
sé que para hacer la monotonía hay que hacer la derivada de x^3 y luego ya no sé seguir

Debes buscar en qué puntos se anula la derivada (pueden ser varios aunque en tu caso sólo hay uno). Cuando tienes esos puntos, digamos que sacaste que se anula para x = 1 y x = 2 (aunque no sea el caso, esto sólo es un ejemplo).
Para estudiar la monotonía necesitas ver qué signo tiene la derivada a ambos lados de los puntos en que se anula, es decir, a izquierda y derecha del 1, y a izquierda y derecha del 2. Por ejemplo puedes comprobar para los valores x= 0, x = 1,5, x= 3.
En tu función sólo tienes que comprobar el signo en dos puntos que estén a izquierda y derecha del punto en que se anula la primera derivada.

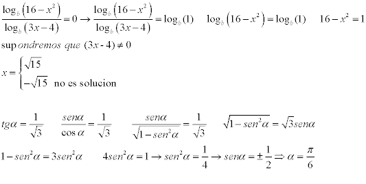
2) Observa que los argumentos de los logaritmos deben ser estrictamente positivos.
Hacemos pasaje de divisor como factor y la ecuación queda (indicamos logaritmo en base b como log):
log(16 - x^2) = 0, componemos con la función inversa del logaritmo en base b y queda:
16 - x^2 = b^0, resolvemos a la derecha y queda:
16 - x^2 = 1, hacemos pasaje de término, resolvemos a la derecha y queda:
-x^2 = - 15, multiplicamos por -1 en ambos miembros, hacemos pasaje de potencia como raíz y queda:
x = V(15), lo que nos conduce a dos opciones:
x1 = +
3,88 (aproximadamente), que corresponde con argumentos positivos en los logaritmos,
x2 = - 3,88 (aproximadamente), que corresponde con un argumento negativo para el logaritmos del denominador,
por lo que concluimos que la ecuación admite como única solución: x1 = +V(15) = +3,88 (aproximadamente).
3) Puedes aplicar las identidades trigonométricas:
(cosx)^2 = 1 / ( 1 + (tanx)^2 ), y (senx)^2 = (tanx)^2 / ( 1 + (tanx)^2 ).
También debes considerar que el intervalo corresponde al primer cuadrante, en el que tangente, coseno y seno toman valores positivos.
Espero haberte ayudado.