
Por favor, verifica si el exponente en el segundo factor de la función está bien colocado, porque de ser así, no se cumple que f(a) = f(b) que es una de las hipótesis del Teorema de Rolle.
Si la expresión es: f(x) = (x-a)^m * (x-b)^n, derivamos y queda: f ' (x) = m(x-a)^(m-1) * (x-b)^n + (x-a)^m * n(x-b)^(n-1), y observa que ambas expresiones son polinómicas, por lo que tenemos:
f es continua en [a,b],
f es derivable en (a,b),
f(a) = f(b) = 0,
por lo tanto, por Teorema de Rolle, existe c perteneciente al intervalo (a,b), tal que f ' (c) = 0.
Luego evaluamos la derivada para c, reemplazamos en la igualdad y queda:
m(c-a)^(m-1) * (c-b)^n + (c-a)^m * n(c-b)^(n-1) = 0
extraemos factor común (c-a)^(m-1) * (c-b)^(n-1) y queda:
(c-a)^(m-1) * (c-b)^(n-1) * ( m(c-b) + n(c-a) ) = 0, luego como c pertenece al intervalo abierto (a,b) tenemos que los dos primeros factores no son nulos, los pasamos dividiendo y queda:
m(c-b) + n(c-a) = 0, distribuimos a la izquierda y queda:
mc - mb + nc - na = 0, hacemos pasajes de términos, extraemos factor común a la izquierda y queda:
(m+n)c = mb+na, hacemos pasaje de factor como divisor y queda:
c = (mb+na)/(m+n).
Luego, calculamos las longitudes |b-c| y |c-b|:
|b-c| = b - (mb+na)/(m+n) = extraemos denominador común = ( b(m+n) - (mb+na) )/(m+n) = operamos en el numerador = n(b-a)/(m+n)
|c-a| = (mb+na)/(m+n) - a = extraemos denominador común = ( (mb + na) - a(m+n) )/(m+n) = operamos en el numerador = m(b-a)/(m+n)
Observa que en los dos casos hemos llegado a resultados positivos, por lo que hemos verificado que el punto c pertenece al intervalo (a,b).
Luego, si haces el cociente queda: |c-a|/|b-c| = m/n.
Espero haberte ayudado.

Vamos con tu ejercicio 17:
observa que el argumento de la raíz cuadrada del primer miembro puede escribirse: (1 + V(x))^2, por lo que la doble desigualdad queda:
V( (1 + V(x))^2 ) >= 1 - V(x) >= 0, simplificamos en el primer miembro y queda:
1 + V(x) >= 1 - V(x) >= 0, luego descomponemos la doble desigualdad y nos quedan dos opciones que deben cumplirse simultáneamente:
a)
1 + V(x) >= 1 - V(x), aplicamos propiedad cancelativa:
V(x) >= - V(x), hacemos pasaje de término y resolvemos a la izquierda:
2*V(x) >= 0, dividimos por dos en ambos miembros:
V(x) >= 0, hacemos pasaje de raíz como potencia, resolvemos a la derecha y queda:
x >= 0, luego leyendo de derecha a izquierda queda:
0 <= x.
b)
1 - V(x) >= 0, hacemos pasaje de término:
-V(x) >= - 1, multiplicamos en ambos miembros por - 1 (observa que cambia la desigualdad):
V(x) <= 1, hacemos pasaje de raíz como potencia, resolvemos a la derecha y queda:
x <= 1.
Luego, tenemos finalmente:
0 <= x <= 1, por lo que el conjunto solución expresado como intervalo queda: S = [0,1].
18) Observa que los argumentos de las raíces imponen condiciones para el conjunto solución:
2 - x >= 0, de donde despejamos y queda: x <= 2
x + 2 >= 0, de donde despejamos y queda: x >= - 2
por lo que tenemos que el conjunto solución debe estar incluido en el intervalo: [-2,2]. (*)
Luego, elevamos al cuadrado en ambos miembros de la desigualdad (observa que ambos miembros son positivos), simplificamos y queda:
2 - x > 1 + 2V(x + 2), hacemos pasaje de término, resolvemos a la izquierda y queda:
1 - x > 2V(x + 2), elevamos al cuadrado en ambos miembros, distribuimos potencia y simplificamos a la derecha y queda:
(1 - x)^2 > 4(x + 2), desarrollamos a la izquierda, distribuimos a la derecha y queda:
1 - 2x + x^2 = 4x + 8, hacemos pasajes de términos, reducimos términos semejantes a la izquierda y queda:
x^2 - 6x - 7 > 0, factorizamos la expresión polinómica cuadrática a la izquierda y queda:
(x + 1)(x - 7) > 0, lo que nos conduce a dos opciones diferentes:
1°)
x + 1 > 0, de donde tenemos: x > -1, y también:
x - 7 > 0, de donde tenemos x > 7
que nos conduce al intervalo (7,+inf), que es incompatible con el intervalo señalado (*), por lo que tenemos el subintervalo vacío.
2°)
x + 1 < 0, de donde tenemos: x < -1, y también:
x - 7 < 0, de donde tenemos x < 7,
que nos conduce al intervalo (-inf,-1), cuya intersección con el intervalo señalado (*), por lo que tenemos el subintervalo: [-2,-1).
Luego, el conjunto solución es unión del subintervalo vacío con el subintervalo [-2,-1), por lo que concluimos:
el intervalo solución es: S = [-2,1).
Luego, a partir del enunciado, vemos que a = -1, y nos piden calcular:
a^2 + 1 = (-1)^2 + 1 = 1 + 1 = 2.
Espero haberte ayudado.
hola chicos!! Resulta que acabo de empezar la uni estudiando bioquimica y en en mates estoy dando los subespacios vectoriales y las aplicaciones lineales, pero la profesora que nos ha tocado es como si fuera un palo, ni explica ni nada. Podríais alguno recomendarme algún libro de matemáticas que os haya ayudado o algo con ese tema? Me encantaría poder completar algunos apuntes entre el libro y los videos de Davida. Ante todo mil grancias !!
Buenas, por favor pueden ayudarme a resolver este ejercicio (Derivadas)
La función utilidad de una empresa por la venta de q calculadoras está dado por la función
U(q)= - 0,34q³ - 3,4q² + 17q - 2300
en dólares ¿A qué razón cambia la utilidad cuando se producen y venden 50 calculadoras?

Debes tener en cuenta las reglas de derivación:
f(q) = constante, entonces f ' (q) = 0
f(q) = q (identidad), entonces f ' (q) = 1
f(q) = q^n (potencia), entonces f ' (q) = n*q^(n-1), con n número real.
La derivación de una expresión separable en términos es separable en términos.
f(q) = C*u(q) (constante por función), entonces: f ' (q) = C*u ' (q).
En tu ejercicio separamos en términos, y derivamos cada término por separado:
U ' (q) = -0,34*3q^2 - 3,4*2q^1 + 17*1 - 0, resolvemos en cada término y queda:
U ' (q) = - 1,02q^2 - 6,8q + 17.
Luego, la razón de cambio la obtienes evaluando la función derivada de la utilidad para q = 50:
U ' (50) = - 1,02*50^2 - 6,8*50 + 17.
Queda para que hagas el cálculo, observa que obtendrás un resultado negativo, por lo que tenemos que la utilidad está disminuyendo.
Espero haberte ayudado.
Hola, necesito ayuda con este ejercicio de matrices, solo quiero saber que condición tengo qu imponer o que debo hacer ya que me gustaría acabar resolviendolo yo mismo. Sólo necesito un empujón, gracias

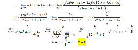
Observa que puedes multiplicar y dividir por ( V(16n^2 + kn) + 4n ), y te queda una expresión fraccionaria N/D, en la que tienes:
Numerador: N = ( V(16n^2 + kn) 4n )( V(16n^2 + kn) + 4n ) = 16n^2 + kn - 16n^2 = kn
Denominador: D = V(16n^2 + kn) + 4n = multiplicamos y dividimos por n^2 en el argumento de la raíz
= V( n^2 * (16n^2 / n^2 + kn/n^2) + 4n = V(n^2)*V(16 + k/n) + 4n = n*V(16 + k/n) + 4n = n*(V(16 + k/n) + 4).
Luego, la expresión de la función queda: N/D = kn / n*( V(16 + k/n) + 4 )= simplificamos = k / ( V(16 + k/n) + 4 ).
Luego, cuando tomas límite para x tendiendo a + infinito queda:
k/(V(16) + 4) = k/8.
Luego, tenemos:
k/8 = 1, despejamos y llegamos a: k = 8.
Tienes que mirar los vídeos disponibles sobre límites como el que hemos desarrollado
Espero haberte ayudado.
Hola! No encuentro ningún vídeo de hacer el rango de una matriz por el método Gauss.
Podriais ayudarme? Gracias

¡Epa! Se trata de reducir y escalonar la matriz, y luego contar la cantidad de filas no nulas, cuya cantidad es igual al rango.
Busca bien, porque es el mismo método que empleamos para estudiar independencia lineal de vectores y resolución de sistemas de ecuaciones.
Y en caso que continúes con dudas, envía un enunciado para que podamos ayudarte.