Buenas tardes, me podrian por favor ayudar con este problema de álgebra?
-Encuentra dos polinomios tales que al dividirlos aparezca q(x)=x2 -x -3 como polinomio cociente y r(x)= -3x2 -1 como resto.
Gracias de antemano :D
Aquí tienes la ayuda. A ver si es útil.
Coge dos polimonios cualesquira, si quieres algo sencillo, del tipo (x-1) y (x+2).
En ese caso, para calcular el primer polinomio que te piden, calcula (x-1) · (x^2-x-3) + (-3x^2-1). El polinomio que te dé, es el que buscas.
Haces lo mismo con el otro polinomio.
Ahí lo tienes.

Observa que estamos buscando dos polinomios A(x) y B(x) tal que, al hacer la división de A(x) por B(x) nos queda: cociente q(x) y como resto r(x). Luego, por el algoritmo de Euclides tenemos:
A(x) = B(x) * q(x) + r(x) (*), con grado de r(x), que es 2, menor que grado de B(x),
por lo que tenemos en el enunciado, el grado mínimo de B(x) debe ser 3. Luego, podemos elegir: B(x) = x^3, y a partir de la ecuación señalada (*) podemos calcular A(x).
Espero haberte ayudado.
Buenos días, ¿me podrían dar algunas ideas para resolver este problema? por favor.
Una copa de papel de forma cónica con un diámetro superior de 8 cm y una profundidad de 6 cm esta lleno de agua. La copa pierde agua por abajo a razón de 2 centímetros cúbicos por minuto . ¿A que velocidad esta bajando el nivel del agua en el instante en el cual tiene exactamente 3 cm de profundidad?.

La expresión del volumen para un semicono con altura h y radio de su base r es: V = (1/3)pi*h*r^2:
A medida que va perdiendo agua, la longitud de r y de h disminuyen, y en un instante t genérico, el volumen queda expresado como función de t:
V(t) = (1/3)pi * h(t) * ( r(t) )^2.
Luego, la relación entre altura y radio es constante: h(t) / r(t) = 6/8, despejamos y queda: r(t) = (4/3)*h(t),
luego sustituimos en la expresión del volumen y tenemos:
V(t) = (1/3)pi * h(t) * ( (4/3)*h(t) )^2, operamos y la expresión queda:
V(t) = (16/27)pi * ( h(t) )^3.
Luego, derivamos para encontrar la expresión del ritmo de pérdida de agua:
V ' (t) = (16/9)pi * ( h(t) )^2 * h ' (t).
Luego, a partir del enunciado tenemos: h(t) = 3, V ' (t) = - 2 (recuerda que el volumen de agua está disminuyendo), reemplazamos y nos queda la ecuación:
- 2 = (16/9)pi * ( 3 )^2 * h ' (t), resolvemos a la derecha y queda:
- 2 = 16pi * h ' (t), hacemos pasaje de factor como divisor, simplificamos a la izquierda y queda:
- 1 / (8pi) = h ' (t),
por lo que concluimos que la profundidad está disminuyendo a razón de 1/(8pi) cm/min.
Espero haberte ayudado.
Dadas las matrices :
A = 1 2 B= 1 2 C= 0 12
-1 1 0 1 -2 -4
resuelve la ecuación A^2 X + BX = C, despejando el valor de la matriz incónita X

Observa que en la ecuación matricial podemos extraer factor común por la derecha en el primer miembro y queda:
( A^2 + B )*X = C.
Luego, te queda calcular la matriz M = A^2 + B (lo haces y te queda invertible), y la ecuación queda:
M*X = C
luego multiplicas por la izquierda por la matriz inversa de M en ambos miembros y la ecuación queda:
M^(-1) * M * X= M^(-1) * C, observa que M^(-1) * M = I (matriz identidad de orden 2):
I * X = M^(-1) * C, resolvemos a la izquierda y llegamos a:
X = M^(-1) * C.
Luego debes hacer todos los cálculos.
Espero haberte ayudado.
Alternativamente vamos lanzando una moneda y un dado, el experimento termina cuando salga cruz o cuando obtengamos un cinco, empezamos lanzando la moneda ¿cuál es la probabilidad de acabar porque hemos obtenido un 5?

La probabilidad de acabar a la primera, porque te salga cruz será 1/2
Si sale cara, la probabilidad de que acabemos pasa porque te salga un 5. La probabilidad sería (1/2)(1/6).
Pero puede ser que salga cara y un numero diferente a 5 y deberemos tirar la moneda otra vez. La probabilidad de ganar pasaría porque nos saliera una cruz.. en ese caso ganamos con una probabilidad de (1/2)(5/6)(1/2).. Pero... ¿y si sale cara? Deberemos tirar el dado. Ganaremos si sale un 5... LA probabilidad de ganar.. (1/2)(5/6)(1/2)(1/6)...
Si sale un numero diferente deberemos tirar la moneda otra vez. Ganaremos si sale cruz.. La probabilidad (1/2)(5/6)(1/2)(1/6)(1/2)..
Y así hasta el infinito.. La probabilidad será la suma de todas ellas...
Halla todos los enteros positivos a y b, con b impar, tal que
1/a + 4/b=1/12
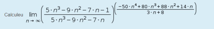
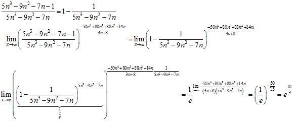
Buenas! tenia algunas dudas sobre como hacer límites cuando tiende hacia infinito, sobretodo en este tipo de casos:



En los dos primeros ando muy perdido. En el tercero sé que primero debo resolver lo de dentro del paréntesis (con lo de a^2-b^2) pero una vez hecho no sé como seguir, agradecería vuestra ayuda!