Hallar h y k de modo que f resulte continua hice el lim de x tendiendo a 0 por derecha y me queda 0/0 lo que hice multiplicar por el conjugado arriba y abajo y me queda -x/ raiz de x por (4 raiz de x +16) y me trabe ayuda![]()

Observa que puedes simplificar:
- x / ( V(x) * V(x + 16) ) = -1*x^1 / ( x^(1/2) * V(x + 16) ) = simplificamos potencias de x =
= - 1*x^(1 - 1/2) / V(x + 16) = -1*x^(1/2) / V(x + 16) = - V(x) / V(x + 16)
y al tomar el límite cuando x tiene a cero por la derecha queda: - 0/V(16) = - 0/4 = - 0 = 0.
Observa:
el numerador te quedó factorizado: N = -1*x
el denominador te quedó factorizado: D = V(x)*V(x + 16)
luego puedes simplificar los factores x (del numerador) con V(x) = x^(1/2) del denominador, que es lo que hemos hecho.
Espero haberte ayudado.

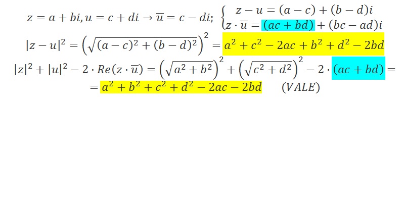
Indicamos a los conjugados de z y u, respectivamente, como z' y u'.
|z - u|^2 = por propiedad = (z - u)(z' - u') = z*z' - z*u' - u*z' + u*u' =
Luego obsreva z*z' = |z|^2, u*u' = |u|^2 y (z*u')' = z'*(u')' = z'*u,
luego reemplazamos en el primero, el tercero y el cuarto término y seguimos la cadena de igualdades:
= |z|^2 - z*u' - (z*u')' + |u|^2 =
Extraemos factor común en los dos términos centrales:
= |z|^2 - ( z*u' + (z*u')' ) + |u|^2 =
Observa que en el agrupamiento tenemos la suma del complejo z*u' con su conjugado, por lo que tenemos:
= |z|^2 - 2*Re(z*u') + |u|^2.
Recuerda que la suma de un número complejo con su conjugado es igual al duplo de la parte real del número complejo.
Espero haberte ayudado.
Como se factoriza una cónica degenerada??? Como esta por ejemplo:
x2+2xy-6x+y2-6y+8=0
Ayuda pls es urgente!!!Gracias de antemano

Va otra forma, válida para tu ecuación:
Ordenamos términos, agrupamos y queda:
(x^2 + 2xy + y^2) - 6(x + y) + 8 = 0, factorizamos el primer agrupamiento:
(x + y)^2 - 6(x + y) + 8 = 0, hacemos la sustitución: w = x + y:
w^2 - 6w + 8 = 0, observa que es una ecuación polinómica cuadrática, aplicas la fórmula resolvente y sus raíces son: w1 = 2 y w2 = 4, factorizamos y queda:
(w - 2)(w - 4) = 0, luego sustituimos w por su expresión en función de x e y:
(x + y - 2)(x + y - 4) = 0.
Esta forma es aplicable solo en algunos ejercicios, como el tuyo, y la forma más general es la que te mostró el colega César.
Espero haberte ayudado.