¡Hola! Acabo de empezar el bachillerato cientíco este año y en matemáticas estoy estudiando los logaritmos y no los entiendo. ¿Alguien me puede ayudar a entenderlo?
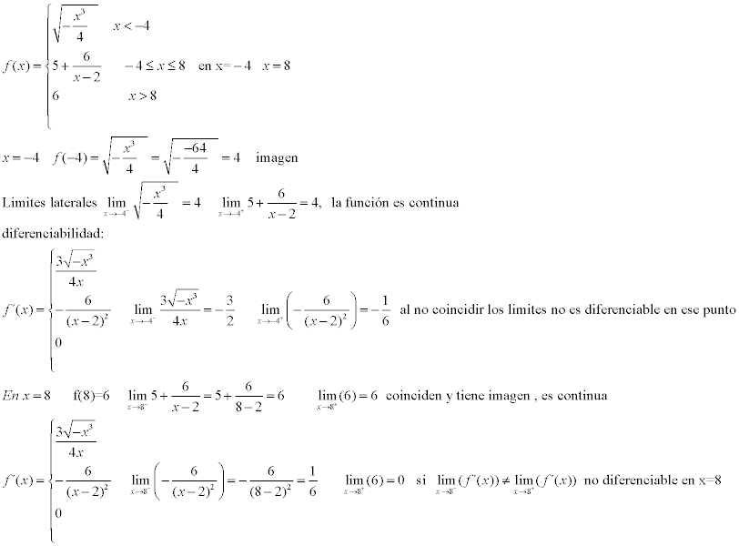
Hola, por favor podrían explicarme como compruebo la diferenciabilidad de una función en un punto de mi ejercicio. Ya he comprobado que en ambos casos son continuas, sin embargo los métodos que he visto para determinar diferenciabilidad es con derivadas parciales y no se como aplicarlas. Había pensado en comprobar que además de continuas son derivables sin embargo tengo entendido que eso no garantiza la diferenciabilidad.
El concepto de función diferenciable es una generalización para el cálculo en varias variables del concepto más simple de función derivable.
hola, por favor, ¿podrían ayudarme a resolver estos ejercicios? GRACIAS!
1.- Evaluar la derivada de la función en el punto indicado.
a) s(t)=√(t2+2t+8) P=(2,4)
b)f(x) = 3/(x3- 4) P= (-1, -(3/5))
C) f(t)=(3t+2)/(t-1) P=(0,2)
d) y=37-sec3(2x) P=(0,36)
2.- Hallar dy/dx mediante derivacion implicita
a)x2 +3xy +y3=10
b) y√(x) - x√(y) =6
c) x sen y =y cos x

Primero, observa que: ln(1/e) = ln1 - lne = 0 - 1 = -1.
Luego, si llamamos u al argumento de logaritmo con base x (lo escribimos: Log), por cambio de bases tenemos: Logu = lnu/lnx.
Reemplazamos y la ecuación queda:
lnu/lnx = - 1
hacemos pasaje de factor y queda:
lnu = - lnx.
Luego, como la expresión u es una potencia, aplicamos la propiedad del logaritmo de una potencia y queda:
logx * ln( (lnx - e)/(lnx + e) ) = - lnx
Luego, si logx indica logaritmo con base 10, por cambio de base tenemos:
lnx/ln10 * ln( (lnx - e)/(lnx + e) ) = - lnx
Luego multiplicamos en ambos miembros por ln10, simplificamos a la izquierda y queda:
lnx * ln( (lnx - e)/(lnx + e) ) = - lnx * ln10
Hacemos pasaje de término y queda:
lnx * ln( (lnx - e)/(lnx + e) ) + lnx * ln10 = 0
Extraemos factor común a la izquierda y queda:
lnx * ( ln( (lnx - e)/(lnx + e) ) + ln10 ) = 0
Luego, tenemos dos opciones:
a) lnx = 0,
que al componer con la función inversa del logaritmo natural queda:
x = e^0 = 1.
b)
ln( (lnx - e)/(lnx + e) ) + ln10 = 0
hacemos pasaje de término:
ln( (lnx - e)/(lnx + e) ) = - ln10
observa que por propiedad del logaritmo del inverso multiplicativo tenemos que - ln10 = ln(1/10), luego reemplazamos y queda:
ln( (lnx - e)/(lnx + e) ) = ln(1/10)
Luego componemos en ambos miembros con la función inversa del logaritmo natural y queda:
(lnx - e)/(lnx + e) = 1/10
hacemos pasajes de divisores como factores y queda (observa que x debe ser distino de 1/e):
10(lnx - e) = lnx + e
distribuimos a la izquierda y queda:
10lnx - 10e = lnx + e
hacemos pasajes de términos, reducimos términos semejantes a la izquierda y queda:
9lnx = 11e
hacemos pasaje de factor como divisor y queda:
lnx = 11e/9
componemos con la función inversa del logaritmo natural y llegamos a:
x = e^(11e/9).
Por todo, concluimos que las soluciones de la ecuación logarítmica son dos:
x = 0
x = e^(11e/9)
Espero haberte ayudado.
que tal podrian ayudarme a resolver los siguientes ejercicios ? gracias ;)
1.- hallar la derivada de la funcion f(x)=4√(x) +3 cos x
2.- hallar una ecuacion de la recta tangente de f que pase por el punto (x0 , y0), no perteneciente a la grafica. Para determinar el punto de tangencia (x,y) en la grafica de f, resolver la ecuación:
f'(x)= (y0-y)/ (x0-x)
a) f(x)=√x ( x0 , y0 )=(-4,0)
3.-Hallarla pendiente de la recta tangente a la funcion seno en el origen. Comparar este valor con el número de ciclos completos en el intervalo [0,2π]
a)y=senx
b)y=sen2x
4.- hallar la PRIMERA derivada de la funcion
a) g(x)=3 tang 4x
b) y=√(x) + 1/4 sen(2x) 2
c) y=sen(cosx)

Se trata de que DESPUES DE IR A CLASE (ver los vídeos
relacionados con vuestras dudas) enviéis dudas concretas, muy concretas. Y que
nos enviéis también todo aquello que hayais conseguido hacer por vosotros
mismos. Paso a paso, esté bien o mal. No solo el enunciado. De esa manera
podremos saber vuestro nivel, en que podemos ayudaros, cuales son vuestros
fallos.... Y el trabajo duro será el vuestro. #nosvemosenclase Nos cuentas ¿ok?
No podemos ni debemos haceros los deberes. Te sugiero repases los vídeos de DERIVADAS, RECTA TANGENTE, REGLA DE LA CADENA.
Besos!
Hola alguien podria pr favor ayudarme a resolver lo siguiente... GRACIAS!
1) hallar la derivada de la función: f(x)=4√ (x) + 3 cos x
2) Localizar los puntos (si los hay) en los que la función tiene tangente horizontal:
a) y= 1/x2
b) y=x+senx, 0 < ó = 2π

1) Si la expresión de la función f tiene dos términos (escribimos a la raíz cuarta como potencia con exponente fraccionario), tenemos: f(x) = x^(1/4) + 3cosx, luego derivamos:
f ' (x) = (1/4)*x^(-3/4) + 3(- senx) = (1/4)*x^(-3/4) - 3senx.
2)
a) y = 1/x^2 = x^(-2), derivamos y queda:
y ' = -2x^(-3).
Luego planteamos:
y ' = 0, reemplazamos y queda:
-2x^(-3) = 0, expresamos el primer miembro como fracción:
- 2/x^3 = 0, hacemos pasaje de divisor como factor y queda:
-2 = 0*x^3, resolvemos a la derecha y queda:
- 2 = 0, que es una identidad absurda, por lo que concluimos que la gráfica de la función no tiene tangente horizontal.
b) Tenemos la ecuación:
y = x + senx, derivamos y queda:
y ' = 1 + cosx, luego planteamos:
y ' = 0, reemplazamos la expresión de la derivada de y:
1 + cosx = 0, hacemos pasaje de término y queda.
cosx = -1, componemos con la función inversa del coseno y queda:
x = pi.
Espero haberte ayudado.

Te mostramos una forma de resolución, sin emplear vectores.
Debes calcular las distancias entre los puntos: A(2,-2), B(-8,4), C(5,3):
dist(A,C) = V( (5 - 2)^2 + (3 - (-2))^2 ) = V(9 + 25) = V(34)
dist(A,B) = V( (- 8 - 2)^2 + (4 - (- 2))^2 ) = V(100 + 36) = V(136)
dist(B,C) = V( (5 - (-8))^2 + (3 - 4)^2 ) = V(169 + 1) = V(170).
Luego, probamos si el lado de mayor longitud es la hipotenusa del triángulo rectángulo, por medio de la ecuación pitagórica:
dist(B,C) = V( dist(A,C)^2 + dist(A,B)^2 ), reemplazamos, resolvemos cuadrados en el argumento de la raíz cuadrada, y queda:
dist(B,C) = V(34 + 136) = V(170), con lo que se verifica la ecuación pitagórica, y concluimos que el triángulo con vértices ABC es un triángulo rectángulo, cuyos lados son:
hipotenusa BC, cuya longitud es V(170),
lado AC, cuya longitud es V(34)
lado AB, cuya longitud es V(136)
Luego, si llamamos base al lado AC y altura al lado AB, tenemos para el área del triángulo rectángulo:
Área = |AC|*|AB|/2 = V(34)*V(136)/2.
Espero haberte ayudado.

Evaluamos la expresión para x = 0 y queda: f(y) = f(0)*f(y), por lo que tenemos: f(0) = 1.
Luego, derivamos con respecto a x (observa que a la izquierda tenemos una composición de funciones) y queda:
f ' (x + y)*1 = f ' (x) * f(y), luego evaluamos para x = 0 y queda: f ' (y) = f ' (0) * f(y) (*)
Luego derivamos con respecto a y (observa que a la izquierda tenemos una composición de funciones) y queda:
f ' (x + y)*1 = f(x)*f ' (y), luego evaluamos para x = 0 y queda:
f ' (y) = f(0)*f ' (y), luego (recordemos que f(0) = 1) reemplazamos según la igualdad señalada (*) y queda:
f ' (y) = 1*f ' (0) * f(y), resolvemos y queda:
f ' (y) = f ' (0) * f(y), que es lo que queríamos demostrar, expresado con variable y.
Observa que hemos demostrado que la derivada de la función f es igual al producto de su derivada evaluada en 0 por la función, independientemente de cuál sea la variable.
Observa también que una de las funciones que cumple con estas condiciones es: f(t) = e^t.
Espero haberte ayudado.
hola!! tengo estos ejercicios de derivadas implícitas que no me dan el resultado correcto, espero puedan ayudarme.
1) (y^2)(3^x)-3^-x=4y en el pnto en que y=1
2)xlny-ylnx=1 en el punto (1,e)

1) Primero comencemos por reemplazar y = 1 para encontrar el valor de x correspondiente:
3^x - 3^(-x) = 4, multiplicamos en todos los términos por 3^x (observa que 3^x es estrictamente mayor que cero):
(3^x)^2 - 1 = 4*3^x, hacemos pasaje de término y queda:
(3^x)^2 - 4*3^x - 1 = 0, que es una ecuación cuadrática con incógnita u = 3^x, aplicamos a fórmula resolvente y quedan dos opciones:
a) 3^x = 2 - V(5) <0, que no tiene solución real, ya que 3^x siempre es mayor que cero;
b) 3^x = 2 + V(5) > 0, que si nos lleva a una solución real, que puedes obtener aplicando logartimos ( queda: x = ln( 2 + V(5) )/ln(3) ).
Luego pasamos a derivar (observa que en el primer término de a izquierda tenemos un producto, y en el segundo término una composición de funciones).
2y*y ' * 3^x + y^2 * 3^x * ln(3) - 3^(-x) * ln(3) * (-1) = 4y ' .
Luego te queda reemplazar los valores de x e y para poder despejar el valor de la derivada de y.
2) Consideramos que y es función de x. Observa que en los dos términos de la izquierda tenemos productos:
lny + x*(1/y)*y ' - y ' *lnx - y*1/x = 0
luego evaluamos para x = 1, y = e y queda:
1 + (1/e)*y ' - 0 = 0
de donde despejamos y llegamos a:
y ' = - e.
Espero haberte ayudado.