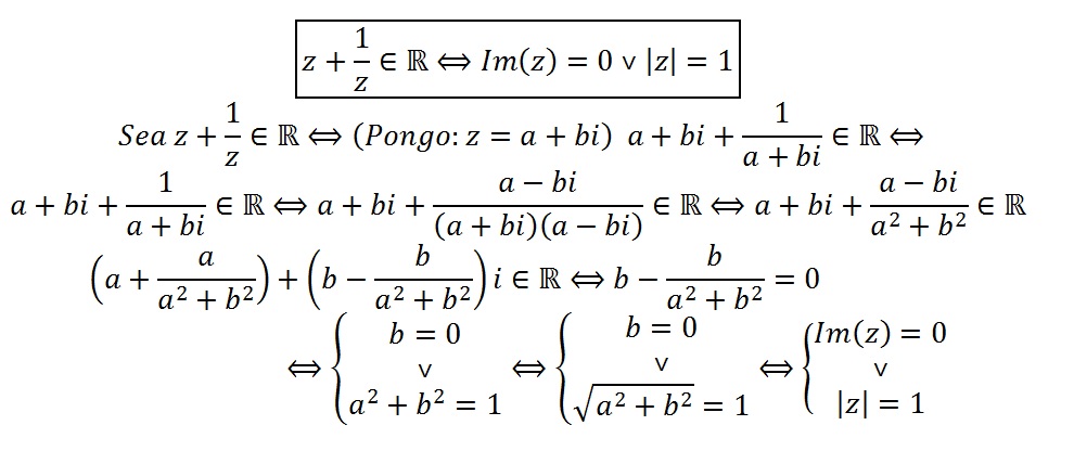
Hola, ¿alguien me podría ayudar? tengo que resolver la inversa de una matriz por el método directo es decir con la fórmula A·A-1= I por lo que se me queda en un sistema de ecuaciones con 4 ecuaciones y 4 incógnitas como se realizaría ese sistema como uno normal de dos ? o como?
matriz 2 1
1 1
Si te quedan 4 ecuaciones y 4 incógnitas, te conviene hacer la matriz de las ecuaciones y dejarla como triangular superior.
Por ejemplo:
a+b+c+d=2
3a+4b+3c+d=3
a+b+5c+2d=2
4a+5b+2c+d=1
Dejas una matriz así:
1 1 1 1 2
3 4 3 1 3
1 1 5 2 2
4 5 2 1 1
Y la dejas como triangular superior para que te quede algo así:
1 1 1 1 2
0 2 2 3 3
0 0 1 1 4
0 0 0 2 4
Y así resuelves 2d=4 luego el d lo reemplazas en la de arriba y así.
No sé si queda claro.

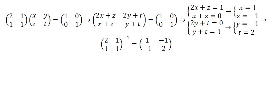
Llamamos x, y, z, w a los elementos de la matriz inversa de A (primera fila: x, y; segunda fila: z, w), haces el producto y al comparar matrices queda el sistema:
2x + z = 1
x + z = 0
2y + w = 0
y + w = 1
Observa que podemos subdividirlo en dos subsistemas independientes (porque no comparten incógnitas):
a)
2x + z = 1
x + z = 0, despejamos y queda: z = - x, reemplazamos en la ecuación anterior y queda: x = 1, luego tenemos: z = - (-1) = 1.
b)
2y + w = 0, despejamos y queda: w = - 2y, reemplazamos en la siguiente ecuación y queda: - y =1, de donde tenemos: y = - 1, y luego: w = -2(-1) = 2.
y + w = 1.
Por lo tanto, los elementos de la matriz inversa de A son:
Primera fila: 1 -1
Segunda fila: -1 2.
Espero haberte ayudado.
P(x)= k x3 - 9x2 +4x + 15 : x+2
Tengo que dividir los polinomios usando el Teorema del Resto.
Los resultado que me salen mediante Ruffini y substitución no coinciden. Y ninguno me da exacto.
No se si el resultado es exacto pero que lo estoy haciendo mal seguro. Porfavor echarme una mano.
Hola, buenas tarde! Soy nueva en esto. No se como hacer este ejercicio. ¿Me podría ayudar a resolverlo? Muchas gracias por su atención. Un saludo. ![]()
![]()

Te oriento un poco....
Con el 32,55628.. no deberías tener problemas. Por ejemplo, truncado a las diezmilesimas sería 32,5562. Aproximado a las decimas por defecto sería 32,5
Aproximado a las milesimas.. 32,556. Y redondeado a las centesimas... 32,56. Las cotas de error se obtienen restando el numero real con los numeros obtenidos...
Si el 218,7 es una aproximación a las décimas por defecto con una cota de error de 0,1, el numero "original" será 218,79
(Al realizar una aproximación por defecto, se busca el número, con un determinado número de cifras decimales, que es inmediatamente menor que el dado)
Te sugiero.. http://www.portaleducativo.net/segundo-medio/3/aproximar-numeros-irracionales-defecto-exceso-redondeo
Con el 0,6543 con una cota de error de 0,0001, al estar truncado te vale cualquier numero que empiece por 0,6543. Por ejemplo... 0,65432
¿Que has dado en clase? ¿no tienes ejemplos que puedan ayudarte?...
A partir de ahí, te haría el ejercicio, pero el trabajo duro debe ser el tuyo... Se trata de que apliques los conceptos, redondeo, truncamiento y aproximación y que luches un poco....