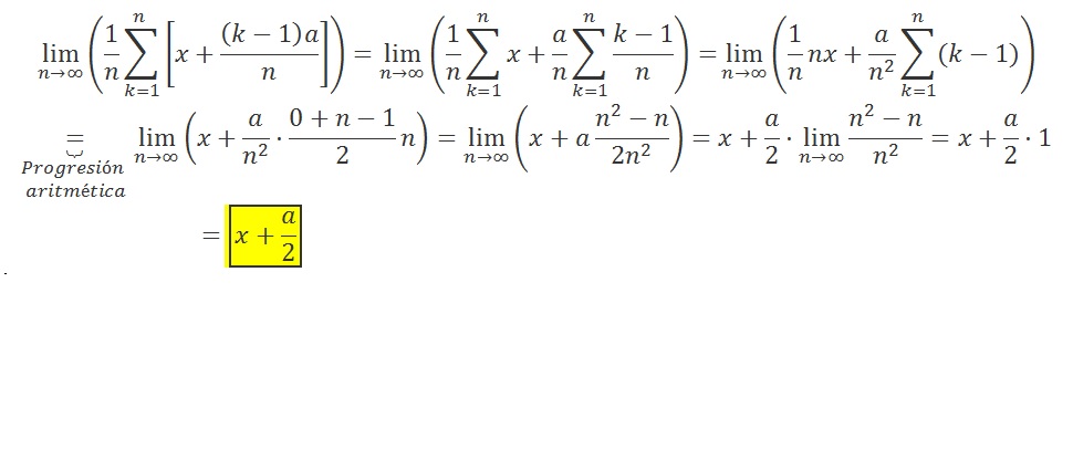
Alguien me ayuda con este ejercicio, estaba viendo una parte de la solucion y no la comprendo mas que nada al empezar si alguien me da una mano, y me ayuda a decir porque se da (lo marcado en negrita y subrayado)
Sean a,b∈Ra,b∈R tales que 0<a<10<a<1 y b>0.b>0. Demostrar que la ecuación x=a sen x+bx=a sen x+b tiene al menos una raíz positiva menor o igual que a+b...
Parte sol: La función f(x)=x−a sen x−b es continua en R, por tanto lo es en [0,a+b].
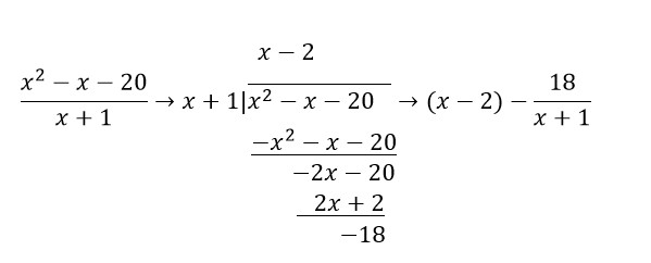
esta bien si considero el pto ( 0,5) como el F Y F`, luego se que la distancia focal ( lease C ) c= 5,
tambien se que la suma de los dos focos es 10 y la diferencia es 6, con una simple ecuacion y despeje consigo el valor de a: 10 + a = 6 eso me da a = 4
ahora simplemente me meto en la ecuacion c^2=a^2+b^2-------> 25= 16 +b^2-------> b= 3
OTRO METODO SERÍA la distancia entre dos puntos pero creo que es más largo, si alguien me lo puede decir se lo agradezco
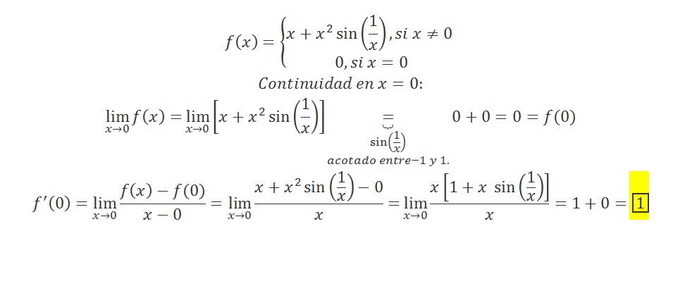
Hola...
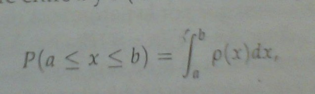
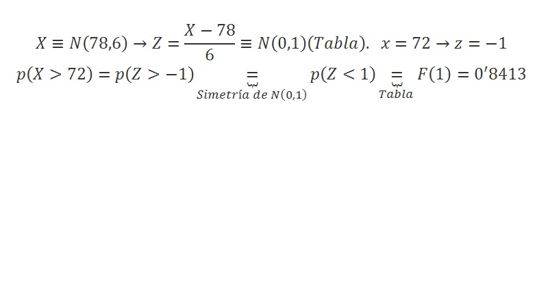
Seria posible que me colaboran con esta pregunta de estadística.
y la ecuación A.20 es:
Donde "exp" es la función exponencial en base e, μ es el valor promedio y σ es la desviación estándar
De antemano muchas gracias
Alguien me puede ayudar con estas derivadas parciales
Calcular dw/dx, dw/dy, dw/dz
en xyz + xzw + w^2 - yzw = 4

Observa que consideramos a w como función de x, y, y z, y que derivamos implícitamente.
a) Con respecto a x (observa que en el segundo término de la izquierda tienes un producto):
yz + zw + xz*dw/dx + 2w*dw/dx - yz*dw/dx = 0, y luego queda que despejes la expresión de dw/dx.
b) Con respecto a y (observa que en el último término de la izquierda tienes un producto):
xz + xz*dw/dy + 2w*dw/dy - zw - yz*dw/dy = 0, y luego queda que despejes la expresión de dw/dx.
c) Con respecto a z (observa que tienes productos en el segundo término y en el último término de la izquierda):
xy + xw + xz*dw/dz + 2w*dw/dz - yw - yz*dw/dz = 0, y a modo de ejemplo, despejamos dw/dz:
hacemos pasajes de términos:
xz*dw/dz + 2w*dw/dx - yz*dw/dz = - xy - xw + yw,
extraemos factor común a la izquierda:
(xz + 2w - yz)*dw/dz = - xy - xw + yw
hacemos pasaje de factor como divisor:
dw/dz = ( - xy - xw + yw ) / (xz + 2w - yz), con la aclaración: xz + 2w - yz distinto de cero.
Espero haberte ayudado.
Sean A, B, C tres matrices de orden n tales que (2A + In)B = B + ACA. Indique bajo qué
condiciones se puede despejar C y hágalo. Simplifique al máximo el resultado.