buenas tardes unicoos, tengo problemas con esta integral: ln2Xdx
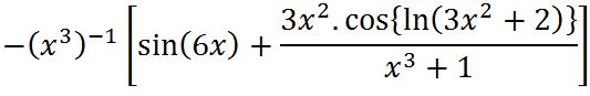
Hola a todos, mi profesor dice que está bien resuelta la derivada pero que puedo aprolijar aún más la respuesta. Me pueden ayudar a "aprolijar" la respuesta.![]()

fijate que podrias, bien esos terminos de exponente negativo, mandarlo al denominador, y luego sacarlo de factor comun, fijate que se repite en tu resultado 2 veces.
ademas en el segundo termino grande, el (-1) poder "eliminarlo" y cambiar el signo de toda la mitad
PD: perdon que no te lo escriba bien pero ahora no cuentos con celular ni acceso a un editor para poder hacertelo de manera prolija :( espero que me logres entender

Observa que la circunferencia tiene al eje OX como uno de sus ejes de simetría, y que el eje OX divide a la región en dos mitades, por lo que plantearemos el área de la mitad "superior" y multiplicaremos por dos.
La mitad "superior" está limitada por "debajo" por el eje OX (cuya ecuación es y = 0), y por "arriba" por la semicircunferencia "superior", cuya ecuación explícita es: y = +V(25 - x^2), y que los valores del eje OX que comprende la región son los comprendidos entre 3 y 5.
Por lo tanto, el área de la región sombreada queda planteada:
A = 2 * Integral ( V(25 - x^2) )*dx, evaluada entre 3 y 5.
Recuerda que esta integral puede resolverse con la sustitución (cambio de variable): w = 5sent, como seguramente has visto en clase, o en los vídeos, a los que te recomiendo recurras.
Espero haberte ayudado.
Alguien que me explique porque mi profesor ha puesto que la derivada de y^2 es 2yy'. Supuestamente la explicación es la que está entre nubes pero no la entiendo...![]()

Debes tener en cuenta que en una ecuación del tipo: x^2 + y^2 = 1, tenemos definida implícitamente a y como una función cuya fórmula no conocemos, y si pudiésemos despejar nos quedaría:
y = g(x) (*), y su derivada quedaría: y ' = g ' (x) (**).
Por lo tanto, la ecuación implícita podríamos escribirla (observa que sustituimos y):
x^2 + ( g(x) )^2 = 1, hacemos pasaje de término y queda:
x^2 + ( g(x) )^2 - 1 = 0.
Observa que podríamos derivar término a término:
en el primero la derivada es directa (se trata de una potencia, por lo que baja el exponente como factor, y queda el exponente disminuido en uno),
en el segundo término tenemos una composición de funciones (tenemos un cuadrado cuyo argumento es una función), por lo que debemos aplicar la regla de la cadena,
en el tercer término tenemos que es constante y su derivada es cero,
luego derivamos y queda:
2x + 2g(x)*g ' (x) = 0.
Luego, como hemos señalado en las ecuaciones (*) y (**), reemplazamos y nos queda:
2x + 2y*y ' = 0.
Espero haberte ayudado.