Buenas tardes,
Tengo el siguiente ejercicio y quisiera saber si son correctas mis resoluciones.
Muchas gracias!!!!!!!
y este otro ejercicio : Determinar el dominio de existencia de f'(z) y encontrar su expresión: f(z) = z * Im(z)
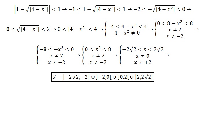
hoola! tengo una duda en un ejercicio de números complejos: Describir geométricamente el siguiente conjunto: │z - 3 + i │< 3

Debes comenzar por plantear al número complejo genérico: x = x + yi, con x e y números reales.
Luego, la inecuación queda:
|x + yi - 3 + i| < 3, agrupas términos reales e imaginarios y queda:
| (x - 3) + (y + 1)i| < 3, luego, a partir de la expresión para el módulo de un número complejo tenemos que:
V( (x - 3)^2 + (y + 1)^2 ) < 3, como tenemos una inecuación con sus miembros positivos, hacemos pasaje de raíz como potencia, resolvemos a la derecha y queda:
(x - 3)^2 + (y + 1)^2 < 9, que define a una región del plano XY (*), cuya frontera es la curva de ecuación:
(x - 3)^2 + (y + 1)^2 = 9, que corresponde a una circunferencia con centro C(3,-1) y radio R = V(9) = 3.
Luego, la inecuación señalada (*) corresponde a un disco circular con centro C(3,-1), radio R = 3, que no incluye a su frontera.
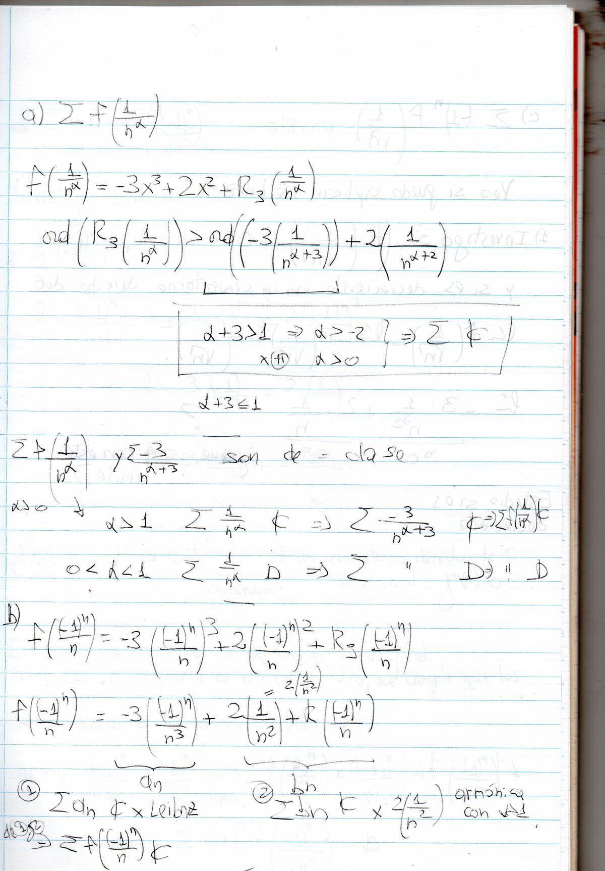
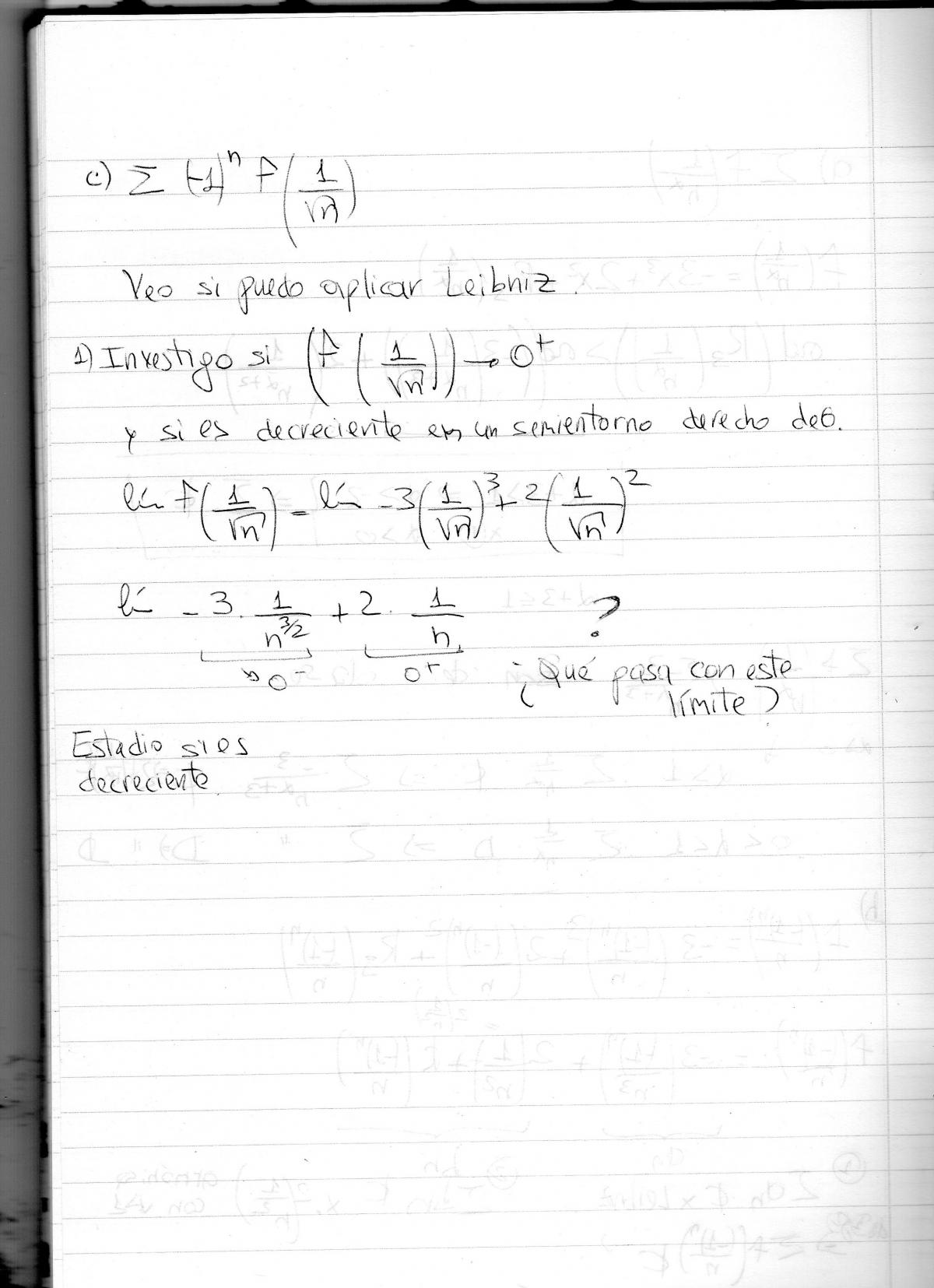
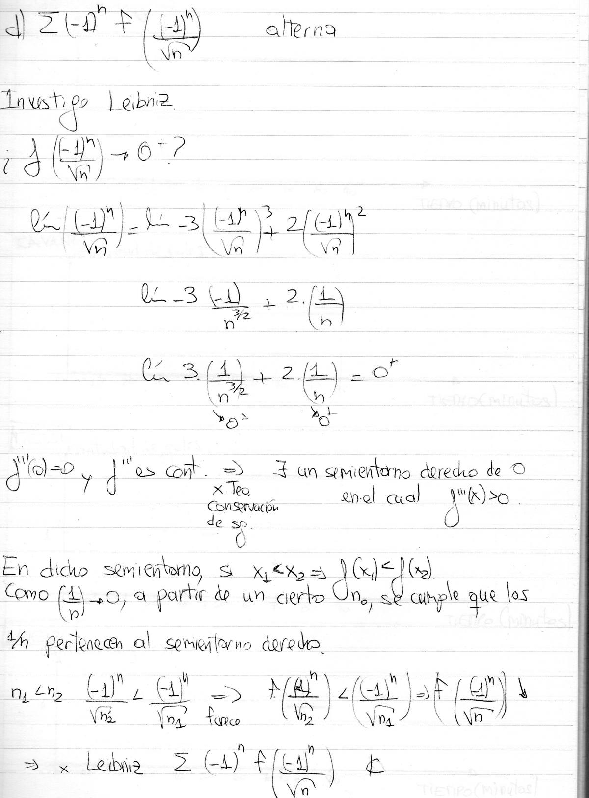
Buenas amigos, podrian ayudarme en este ejercicios de inecuacion. El ejercicio esta en azul, esto es lo que he podido hacer hasta ahora. R: significa la solucion que me dieron. Cualquier ayuda les agradeceria![]()

Observa que el denominador de la izquierda impone que x debe ser distinto de 1, por lo que tenemos dos opciones:
a) x - 1 > 0 (positivo), por lo que al despejar queda: x > 1 (*),
luego vamos a la inecuación, hacemos pasaje de divisor como factor (recuerda que es positivo y no modifica la desigualdad) y queda:
x <= 2x(x - 1), distribuimos y queda:
x <= 2x^2 - 2x, hacemos pasajes de términos, reducimos términos lineales y queda:
-2x^2 + 3x <= 0, multiplicamos en todos los términos por -1 (recuerda que cambia la desigualdad) y queda:
2x^2 - 3x >= 0, extraemos factor común y queda:
2x(x - 3/2) >= 0, que nos conduce a dos opciones:
a1) 2x >=0, que el despejar queda: x >= 0, y x - 3/2 >= 0, que al despejar queda: x >= 3/2, y combinadas con la inecuación señalada (*) nos conduce al subintervalo [3/2,+inf).
a2) 2x <= 0, que al despejar queda: x <= 0, y x - 3/2 <= 0, que al despejar queda:
x <= 3/2, y combinadas con la inecuación señalada (*) nos conduce al subintervalo vacío.
b) x - 1 < 0 (negativo), por lo que al despejar queda: x < 1 (**),
luego vamos a la inecuación, hacemos pasaje de divisor como factor (recuerda que es negativo y si modifica la desigualdad) y queda:
x >= 2x(x - 1), distribuimos y queda:
x >= 2x^2 - 2x, hacemos pasajes de términos, reducimos términos lineales y queda:
-2x^2 + 3x >= 0, multiplicamos en todos los términos por -1 (recuerda que cambia la desigualdad) y queda:
2x^2 - 3x <= 0, extraemos factor común y queda:
2x(x - 3/2) <= 0, que nos conduce a dos opciones:
b1) 2x >=0, que el despejar queda: x >= 0, y x - 3/2 <= 0, que al despejar queda: x <= 3/2, y combinadas con la inecuación señalada (*) nos conduce al subintervalo [0,1).
b2) 2x <= 0, que al despejar queda: x <= 0, y x - 3/2 >= 0, que al despejar queda:
x >= 3/2, y combinadas con la inecuación señalada (*) nos conduce al subintervalo vacío.
Por lo tanto, el conjunto solución expresado como intervalo queda:
S = [0,1) u [3/2,+inf).
Espero haberte ayudado.

Si me a servido de gran ayuda, pero quede con dos dudas: a que te refieres a subintervalos vacios? Y la otra es: donde comenzaste a resolver la srgunda parte b1) pusiste x>=0 y en x<= -3/2 (me refiero a los signos menor igual y mayor igual) y en b2) pusiste primero <= es decir, x<=0 y x>= 3/2, y en cambio en a1) utilizaste solo >= y a2) sacaste los puntos de interseccion con <=?. Esas son mis dudas, espero su pronta respuesta. Gracias.
Una pregunta UNICOOS, ¿qué programa utilizáis para escribir fórmulas matemáticas?, ¿qué programa me recomendáis para calcular diferentes tipos de operaciones?
Gracias.
Buenos días,
He estado mirando los apuntes de Sucesiones y Límites que hay colgados en referencia a los vídeos de límites exponenciales y logarítmicos y en la ACTIVIDAD 12, apartados a) y c) he detectado dos errores en las soluciones.
a) 5/2
c) -7
Hola buenas tardes en el canal de YouTube solicité una explicación de un ejercicio de gases, he intentado por todos los lados y no me sale. Intenté con la fórmula: P/RT=n/V pero como me están pidiendo la concentración de vapor de Hg no se como despejar la ley de los gases. Agradezco si me pueden ayudar tengo parcial de fisicoquímica el viernes.![]()
![]()
buenos díass,
Me gustaria saber como puedo hacer el dominio y recorrido de una función real de variable real.