Foro de preguntas y respuestas de Matemáticas

logo beUnicoos
Los foros de unicoos se han unificado en nuestra nueva plataforma beUnicoos. Para dejar nuevas preguntas deberás hacerlo allí, donde además podrás encontrar nuevas asignaturas y herramientas para ayudarte más con tus estudios.

  • icon

    Miquel Martos Doroteo
    el 11/9/16

    Me pdrían corregir el ejercicio 18, b), ¿Por favor? He intentado hacer el apartado c), pero no se por donde cojerlo, ¿Me lo podrían explicar por favor?

    Muchas gracias, valoro muchísimo el tiempo que nos dedican.


    replythumb_up0 voto/sflag
    icon

    Antonius Benedictus
    el 11/9/16

    Te lo explicamos:

    thumb_up1 voto/sflag
  • icon

    Miquel Martos Doroteo
    el 11/9/16

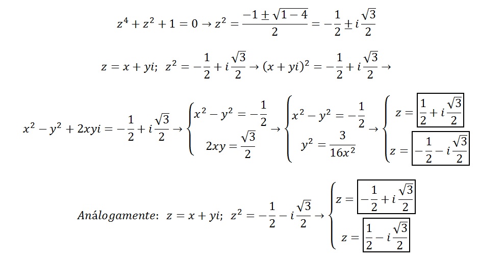
    ¿Me podrían corregir, por favor, los ejercicios 12 y 13? En el 12 me piden que encuentra las raíces, y en el 18 a) me piden que encuentre las raíces y que resuelva el ejercicio.

    replythumb_up0 voto/sflag
    icon

    Antonius Benedictus
    el 11/9/16

    Has vuelto a copiar el 10 y el 11.

    thumb_up1 voto/sflag
  • icon

    Miquel Martos Doroteo
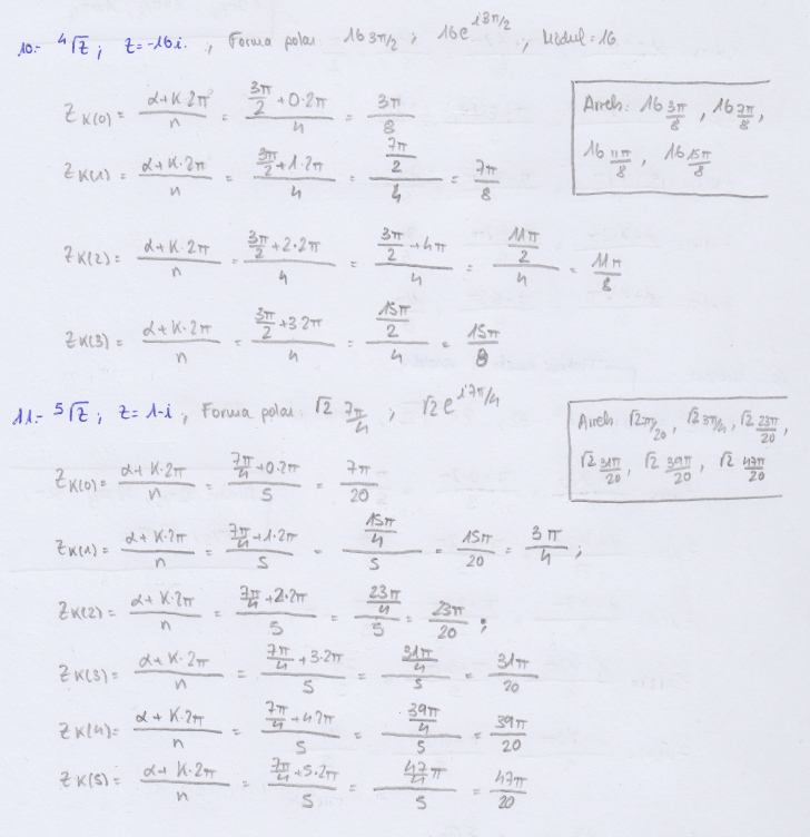
    el 11/9/16

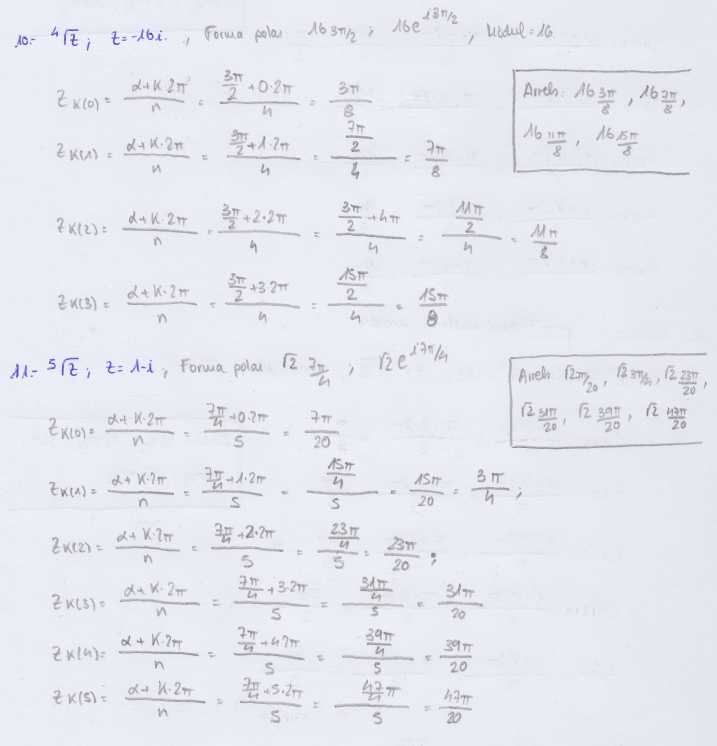
    Me podrían corregir el ejercicio 10 y 11, ¿Por favor? Me piden que encuentre las raíces correspondientes.



    replythumb_up0 voto/sflag
    icon

    Antonius Benedictus
    el 11/9/16

    El módulo de las raíces cuartas es la raíz cuarta del módulo, O sea, 2.

    Corrige lo mismo en el 11.

    Los argumentos están bien.

    thumb_up1 voto/sflag
  • icon

    Miquel Martos Doroteo
    el 11/9/16

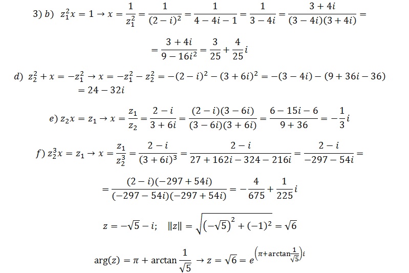
    Me podrían corregir el ejercicio 9 también, ¿Por favor?

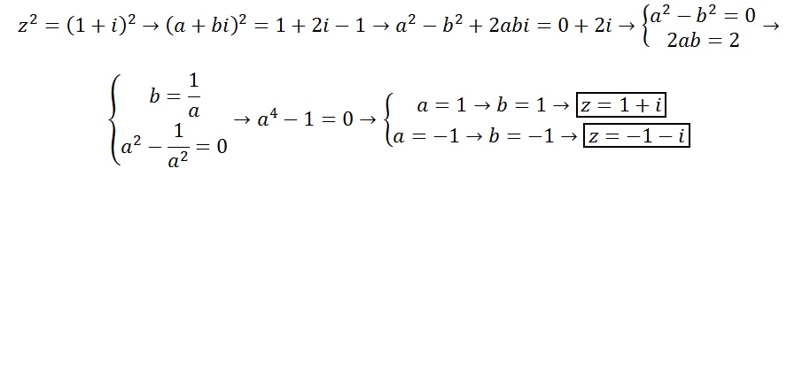
    El ejercicio 8 no la acabo de entender, me piden que encuentre un numero (z) complejo tal que: z^2 = (1+i)^2



    replythumb_up0 voto/sflag
    icon

    Antonius Benedictus
    el 11/9/16

    El 9 está bien. Te va el 8.

    thumb_up1 voto/sflag
  • icon

    Miquel Martos Doroteo
    el 11/9/16

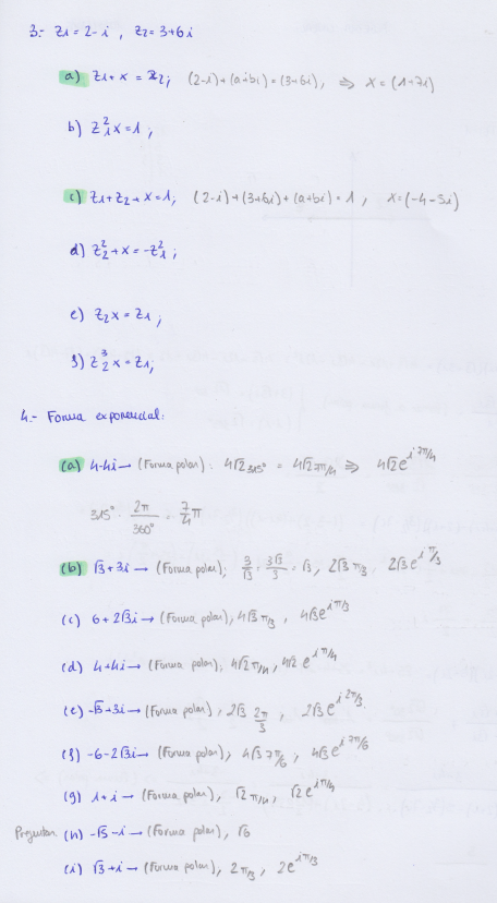
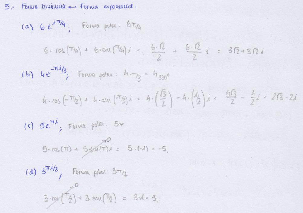
    Me podrían corregir el ejercicio 5, ¿Por favor? Me piden que transforme los numeros complejos expresados en forma exponencial a forma binómica.



    replythumb_up0 voto/sflag
    icon

    Antonius Benedictus
    el 11/9/16

    El d) es 3i.

    thumb_up1 voto/sflag
  • icon

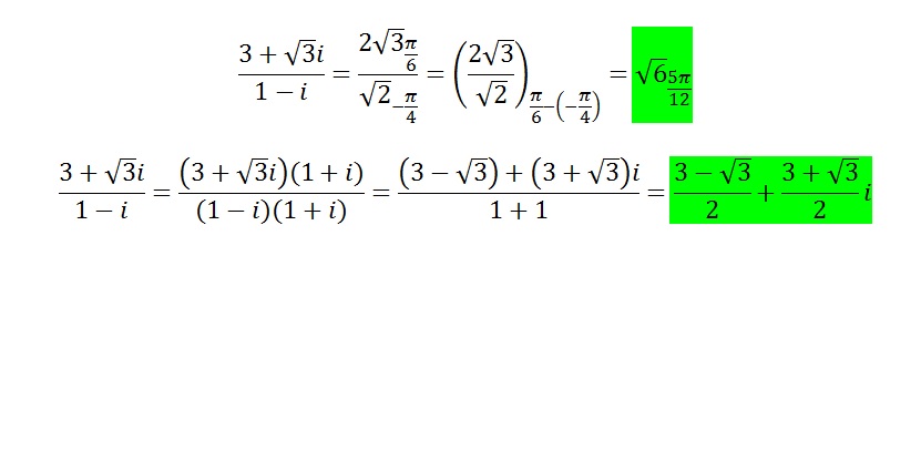
    Miquel Martos Doroteo
    el 11/9/16

    En el ejercicio 3 me piden que verifique el numero "x" que cumpla la igualdad; no tengo muy claros los apartados: b, d, e, y f.

    En el ejercicio 4 me piden que transforme un numero complejo de forma binómica a exponencial.


    replythumb_up0 voto/sflag
    icon

    Antonius Benedictus
    el 11/9/16

    Te va la corrección, Miquel:

    thumb_up0 voto/sflag
  • icon

    Aurora Alba
    el 11/9/16
    flag

    Buenos días, ¿alguien me puede explicar este ejercicio de sucesiones?


    replythumb_up0 voto/sflag
    icon

    Antonius Benedictus
    el 11/9/16

    Si, Amanecer:

    thumb_up1 voto/sflag
  • icon

    Miquel Martos Doroteo
    el 11/9/16

    Buenos días, hace unos días que empecé la universidad y en Álgebra nos mandaron unos ejercicios sobre el conjunto de los complejos, pero no los corregiremos en clase ni tampoco nos darán las respuestas. ¿Me podrías explicar los que no acabo de entender y corregir los que he hecho por favor?

    Muchas gracias.

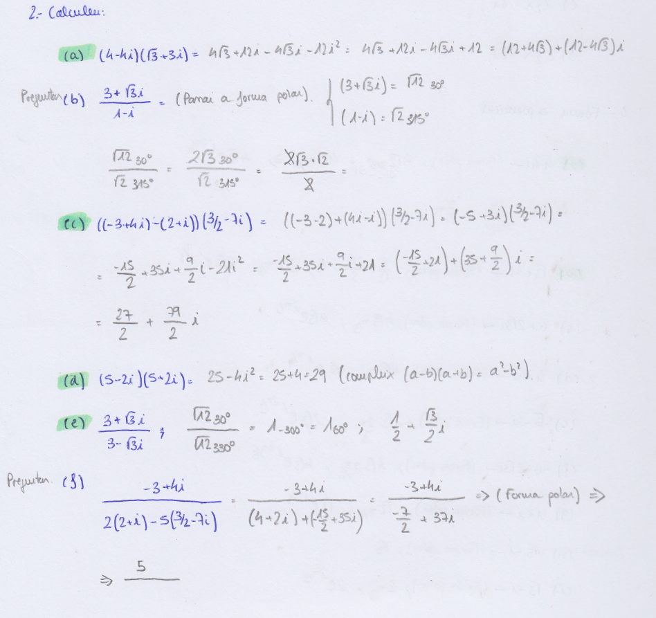
    En el ejercicio 2 me piden que calcule las expresiones a, b, c, d, e y f. El b y el f no se muy bien como resolverlos.


    replythumb_up0 voto/sflag
    icon

    Antonius Benedictus
    el 11/9/16

    Te paso el b).

    El f lo acabas en binómica multiplicando y dividiendo por el conjugado.

    Lo demás es correcto.

    thumb_up1 voto/sflag
  • icon

    Luìs Lòpez
    el 11/9/16

    Hola, alguien me explica de donde sale el 1/3 X^-2/3


    Muchas gracias!

    replythumb_up0 voto/sflag
    icon

    César
    el 11/9/16

    De aplicar la regla de drivación 

    thumb_up0 voto/sflag
  • icon

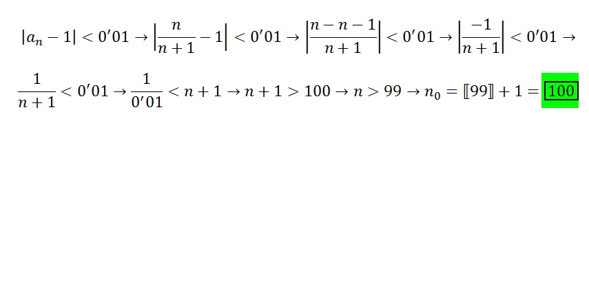
    Anastasia
    el 11/9/16

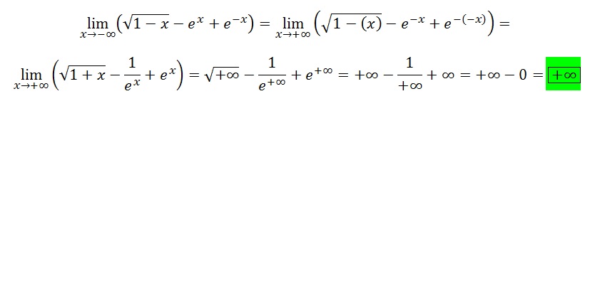
    Buenos días! No sé como resolver un limite, ¿alguien podría ayudarme? Muchísimas gracias.


    replythumb_up0 voto/sflag
    icon

    Antonius Benedictus
    el 11/9/16

    Te ayudamos, Anastasia:

    thumb_up1 voto/sflag
    icon

    Anastasia
    el 26/9/16

    Muchísimas gracias!

    thumb_up0 voto/sflag