Hola!! ¿Me podríais ayudar?..
COCIENTE DE UNA DIVISIÓN
(x4 -x2 +9) entre (x+2)
Entendiendo que la x del divisor vale x1 y aplicando la formula xn • xm
Si el resultado es x3 -2x2 x3 -6
¿Me ayudáis a resolver el ejercicio paso por paso?
Me quedo encallado en el x3 -6, no entiendo ese resultado final.
Gracias.
Creo que me explique mal.
El ejercicio es este x4 -x2 +9 entre x+2 y hay que sacar el cociente de la división:
El resultado ya lo sabemos, el problema es como sacar el cociente de esa división .
La idea es representar el ejercicio de una manera sencilla y paso por paso.
Perdona mi incredulidad.
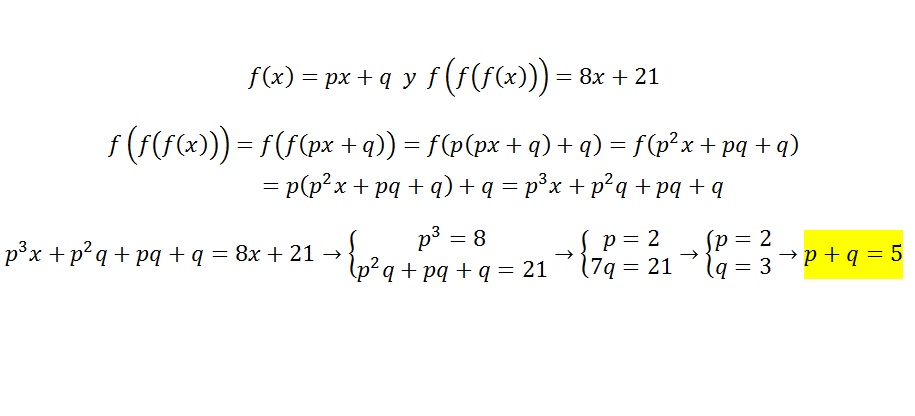
2. ¿Cuál es el cociente de dividir P(x) = x4 − x2 + 9 entre Q(x) = x + 2?
a) x3 − 2x2 + 3x − 6.
b) x3 + 2x2 + 3x + 6.
c) x3 − 2x2 + 5x − 10.
Muchas gracias a todos!!
Después de insistir varias veces y repetir la Regla Ruffini "he dado con la respuesta".
Por lo visto, hay que tener en cuenta varios términos muy importantes en la regla Ruffini, que si te los pasas por alto, dan con el traste a todo tu trabajo.
Gracias a todos otra vez. (X -/+ Nº = Ruffini)
Hola!! Gracias por tener esta web que nos ayuda con las matemáticas.
Tengo el siguiente problema de probabilidad:
Una empresa hotelera tiene 400 empleados, de los cuales 180 son mujeres y 220 hombres, y se encuentran organizados en tres grupos: A (recepcionistas, advos, gestores) B (camareros, cocineros) y C (servicio de mantenimiento, personal de limpieza). De las 180 mujeres, 60 pertenecen al grupo A, 100 al C y el resto al grupo B. De los 220 hombres, 95 pertenecen al grupo C, 60 al B y el resto al A. Se elige un trabajador al azar:
A) ¿Qué probabilidad hay de que sea homore y pertenezca al grupo C?
B) ¿Qué probabilidad hay de que sea mujer y no pertenezca al grupo A?
C) ¿Que probabilidad hay de que no pertenezca al grupo C?
D) ¿Qué probabilidad hay de que sea hombre o pertenezca al grupo B?
E) si el trabajador seleccionado es hombre, ¿que probabilidad hay de que pertenezca al grupo C?
F) si el trabajador selecoronado es del grupo C ¿qué probabilidad hay de que sea hombre?
Lo puedes hacer por arbol o por tabla de doble entrada, te aconsejo la tabla de doble entrada ya que si la haces bien es mas facil de ver y mas rapida.
Para tu ejercicio la tabla seria asi:
mujeres hombres total
A 60 65 125
B 20 60 80
C 100 95 195
total 180 220 400
a) P (hombre y c)= te vas a la columna de hombres y a la fila de c= 95 y eso lo divides entre el total = 95/400 = 23%
Asi lo vas haciendo con los demas.
Muchas gracias Fran!! Me ha ayudado bastante.
Estoy empezando por primera vez con estadísticas básicas y estoy un poco perdido. Tengo un libro de orientación, que más bien orienta poco, por lo que prefiero buscar a través de Internet y dio la casualidad que vi los vídeos de "unicoos" a través del canal YouTube y donde entiendo mejor los ejercicios.
¿Sería mucho pedir los resultados de los demás apartados? A ver si coincido.
Nuevamente gracias por la colaboración!!

Te sugiero los vídos de DIAGRAMA DE VENN
A partir de ahú, se trata de que DESPUES DE IR A CLASE (ver los vídeos relacionados con vuestras dudas) enviéis dudas concretas, muy concretas. Y que nos enviéis también todo aquello que hayais conseguido hacer por vosotros mismos. Paso a paso, esté bien o mal. No solo el enunciado. De esa manera podremos saber vuestro nivel, en que podemos ayudaros, cuales son vuestros fallos.... Y el trabajo duro será el vuestro. #nosvemosenclase Nos cuentas ¿ok?
Me ayudan a resolver estos problemas de Geometría Analítica?
miren, tengo los siguientes problemas
1. demuestra, mediante la fórmula de distancia, que los siguientes puntos son coloniales
1. A (-3, 4)
B (5, 7)
C (11, 9)
2. A (-1, -2)
B (3, -10)
C (-4, 4)
2. demuestra que los siguientes puntos son los vértices de un triangulo isósceles
1. A (-2, 2)
B (3, 1)
C (-1, -6)
3. demuestra que los siguientes puntos son los vértices de un triangulo rectángulo
1. A (3, 2)
B (-2, -3)
C (0, -4)
4. halla la distancia entre los 2 puntos cuyas coordenadas son:
1. A (-2,5)
B (4, -3)
2. C (2,5/3)
M (-3, -3/2)
necesito ayuda con estos problemas porfavor.Mirate estos videos, todos tus ejercicios se resuleven con la fórmula de distancia entre 2 puntos.
d=√((x2-x1)2 +(y2-y1)2 )
Geometría analítica

Se trata de que DESPUES DE IR A CLASE (ver los vídeos relacionados con vuestras dudas) enviéis dudas concretas, muy concretas. Y que nos enviéis también todo aquello que hayais conseguido hacer por vosotros mismos. Paso a paso, esté bien o mal. No solo el enunciado. De esa manera podremos saber vuestro nivel, en que podemos ayudaros, cuales son vuestros fallos.... Y el trabajo duro será el vuestro. #nosvemosenclase Nos cuentas ¿ok?
Hola, me dan una mano con esta ecuacion diofantica?
1128x+1636y=32
el dcm entre 1128 y 1636 me dio 4, y como 4 divide a 32 entonces tiene solucion, pero al hacer la ecuacion me queda muy larga

Te sugiero este video Estudio completo de una funcion racional
Y tambien este... Crecimiento y curvatura de una función polinomica
Se trata de derivar e igualar a cero. Evidentemente si tienes problemas al derivar, te sugiero tambien los videos de derivadas...
Se trata de que DESPUES DE IR A CLASE (ver los vídeos relacionados con vuestras dudas) enviéis dudas concretas, muy concretas. Y que nos enviéis también todo aquello que hayais conseguido hacer por vosotros mismos. Paso a paso, esté bien o mal. No solo el enunciado. De esa manera podremos saber vuestro nivel, en que podemos ayudaros, cuales son vuestros fallos.... Y el trabajo duro será el vuestro. #nosvemosenclase Nos cuentas ¿ok?