Foro de preguntas y respuestas de Matemáticas

logo beUnicoos
Los foros de unicoos se han unificado en nuestra nueva plataforma beUnicoos. Para dejar nuevas preguntas deberás hacerlo allí, donde además podrás encontrar nuevas asignaturas y herramientas para ayudarte más con tus estudios.

  • icon

    mayeleen
    el 30/8/16

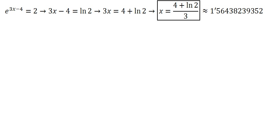
    Hola me pueden ayudar tengo que hallar el valor x de e^3x−4=2

    replythumb_up0 voto/sflag
    icon

    Antonius Benedictus
    el 30/8/16

    Sí, claro.

    thumb_up0 voto/sflag
  • icon

    Miriam
    el 30/8/16

    Hola, tengo una duda sobre las asintotas horizontales de una funcion. Si cuando estoy ahciendo el limite de la asintota horizontal, me da como resultado un numero entre infinito que es 0, ¿ eso significaria aue no tiene asintota horizontal?
    Por otro lado, en una asintota vertical si el limite es cuando x tiende a 0 y el resultado me da infinito, ¿ tiene o no tiene asintota?

    replythumb_up0 voto/sflag
    icon

    Desencadenado
    el 30/8/16

    no he echo la oblicua porque posee horizontal espero te saques las dudas ;-)

    thumb_up1 voto/sflag
    icon

    Miriam
    el 30/8/16

    Muchas gracias. Solo una ultima duda: ¿tengo que obtemer los limites laterales de x tiende a 0? En caso negativo, cuando hay que sacar los limites laterales?

    thumb_up0 voto/sflag
    icon

    Desencadenado
    el 30/8/16

    Si te piden graficar deberías de hacerlo para saber para donde va la función, eso ayuda bastante ;-)

    thumb_up0 voto/sflag
  • icon

    Miriam
    el 30/8/16

    Hola, dada la funcion y=(1-x)/(x^2)¿ cuales serian los puntos de corte con los ejes y el dominio?
    Ademas, ¿como se desaarrollaria la asintota vertical, horizontal y oblicua?
    He visto los videos pero no se aplicarlo a esta funcion

    replythumb_up0 voto/sflag
    icon

    Desencadenado
    el 30/8/16

    Miriam según el gráfico de la función el dominio son todos los reales menos el cero. Y las intersecciones: con Y no tiene y con X=1, te lo puedo hacer analíticamente si lo necesitas ;-)

    thumb_up1 voto/sflag
    icon

    Miriam
    el 30/8/16

    Muchas gracias, pero me queda un par de dudas.
    Si ponemos x=0 nos daria 1/0 que no se puede hacer¿ es por eso por lo aue no tiene punto de corte con el eje x?
    La segunda duda es la de las asintotas verticales y horizontales.

    thumb_up0 voto/sflag
    icon

    Desencadenado
    el 30/8/16

    exacto, eso daría infinito y sería una asintota vertical

    thumb_up1 voto/sflag
  • icon

    Juan
    el 30/8/16

    Hola, alguien me podria corregir que es lo que esto haciendo mal?

    Ejercicio: Sea ¶: x - y + 3z = -1, L1= t(0,-2,1)+(1,2,3), y P=(-1,1,2)

    Encontrar una recta L2 tal que:
    -P pertenezca a L2
    -L1 ∩ L2
    -L2 es paralela a ¶.



    Lo que yo hago: Multiplico vectorialmente a la normal del plano con el vector directo de L1, para obtener el vector de L2. Posteriormente le sumo el punto de paso P. El problema es que al realizar las verificaciones L1 y L2 no se intersectan. Cual es el error?

    replythumb_up0 voto/sflag
    icon

    Antonius Benedictus
    el 30/8/16

    Revisa las operaciones, Juan. El procedimiento es correcto.

    thumb_up1 voto/sflag
  • icon

    Cristian Garzón
    el 30/8/16

    Alguien por favor que me ayude..!!

    replythumb_up0 voto/sflag
    icon

    Antonius Benedictus
    el 30/8/16

    Va la ayuda, Cristian:

    thumb_up1 voto/sflag
    icon

    Cristian Garzón
    el 30/8/16

    Muchas gracias Antonio, pero pensaba que debía emplear la definición de diferenciabilidad en la solución del problema.
    ¿Entonces es lo mismo resolviendo el problema, solo utilizando la condición suficiente para que una función sea diferenciable? Me podrías explicar?

    thumb_up0 voto/sflag
    icon

    Antonius Benedictus
    el 30/8/16

    Si la condición es suficiente, queda probado.
    Otra cosa es la necesidad.

    thumb_up0 voto/sflag
  • icon

    MDC
    el 30/8/16

    Alguien me puede ayudar con esto por favor!!

    Las únicas restricciones que se me ocurren son (siendo X=Ibérico Y=vino):
    0

    replythumb_up0 voto/sflag
    icon

    Antonius Benedictus
    el 30/8/16

    X=Nº lotes A, y=Nº lotes B
    http://www.zweigmedia.com/utilities/lpg/index.html?lang=en

    thumb_up1 voto/sflag
  • icon

    Xia
    el 30/8/16

    Pregunta...

    replythumb_up0 voto/sflag
    icon

    Antonius Benedictus
    el 30/8/16

    Respuesta...

    thumb_up0 voto/sflag
  • icon

    Erika Cristina Caillamara Arroba
    el 29/8/16

    No se como hacer estos limites ayuda por favor!! Muchisimas gracias

    replythumb_up0 voto/sflag
    icon

    Desencadenado
    el 29/8/16

    así Erika

    thumb_up0 voto/sflag
    icon

    Desencadenado
    el 29/8/16

    b)

    thumb_up0 voto/sflag
    icon

    Desencadenado
    el 29/8/16

    c)

    thumb_up0 voto/sflag
    icon

    Desencadenado
    el 30/8/16

    d)

    thumb_up0 voto/sflag
    icon

    Desencadenado
    el 30/8/16

    e)

    thumb_up0 voto/sflag
    icon

    Desencadenado
    el 30/8/16

    f)

    thumb_up0 voto/sflag
    icon

    Erika Cristina Caillamara Arroba
    el 30/8/16

    Muchisimas gracias!! Me ha sido de gran ayuda

    thumb_up0 voto/sflag
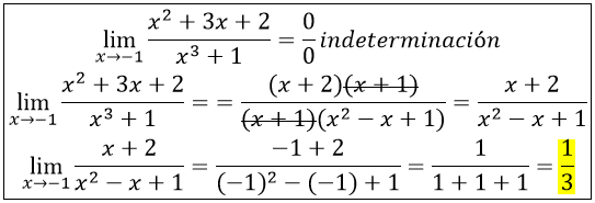
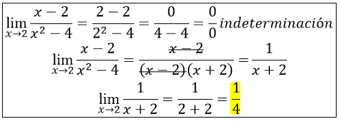
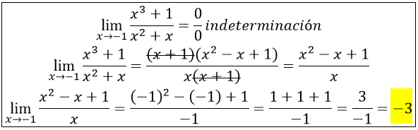
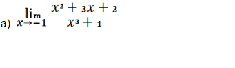
  • icon

    Juan Tomas
    el 29/8/16

    Solución de este límite?
    Mi solución es: -3 pero no estoy seguro del método que he llevado a cabo.

    He calculado las soluciones del numerador con la fórmula de 2º grado y el denominador por ruffini y he simplificado. Es correcto?

    Gracias compañeros.

    replythumb_up0 voto/sflag
    icon

    Desencadenado
    el 29/8/16

    la solución Reta, si quieres te lo puedo resolver y corroboras los fallos ;-)

    thumb_up1 voto/sflag
    icon

    Juan Tomas
    el 29/8/16

    Sí, por favor

    thumb_up0 voto/sflag
    icon

    Desencadenado
    el 30/8/16

    así Reta ;-)

    thumb_up1 voto/sflag
    icon

    Juan Tomas
    el 30/8/16

    Vale, solo a sido un problema de sustitución, muchas gracias amigo

    thumb_up1 voto/sflag
  • icon

    Silvana
    el 29/8/16
    flag

    Ayuda por favorr, como resolver estas operaciones?? porque aparecen signos de numeros negativos y no de resta :(

    replythumb_up0 voto/sflag
    icon

    Desencadenado
    el 29/8/16

    No estoy muy seguro, me gustaría ver el enunciado para tener una guía ;-)

    thumb_up1 voto/sflag
    icon

    Antonio Silvio Palmitano
    el 29/8/16

    Por favor, envía la consigna del ejercicio para poder ayudarte.

    thumb_up1 voto/sflag
    icon

    Silvana
    el 29/8/16

    Claro, dice asi: estos calculos estan mal hechos, encontrar los fallos y explicar en que consiste dichos fallos y resuelvelos. perdon que no me exprese bien

    thumb_up0 voto/sflag
    icon

    Desencadenado
    el 29/8/16

    el c) en vez de una resta iría una multiplicación, entonces 5x6=30 -> 30=30 ;-)

    thumb_up1 voto/sflag
    icon

    Desencadenado
    el 29/8/16

    corrijo el d) Silvana

    thumb_up1 voto/sflag
    icon

    Silvana
    el 30/8/16

    Muchas gracias Nelson por la ayudaa, me has ayudado muchisimoo, te agradezcoo :D

    thumb_up0 voto/sflag
    icon

    Silvana
    el 30/8/16

    Nelson sigo sin entender este ejercicio, porque aca me pide que de ese ejercicio que da menos 5 al final esta incorrecto el planteo lo que me pide es que llegue a la forma correcta pero la forma correcta tambien da menos 5??? yo copie en mi cuaderno lo que me has ayudado

    thumb_up0 voto/sflag
    icon

    Desencadenado
    el 30/8/16

    Que tal así Silvana. No dejes de avisarme que dijo tu profesor, porque ahora me hiciste entra en duda si es - 5 o 9 el resultado, en todo caso los tiene a ambos ;-)

    thumb_up1 voto/sflag
    icon

    Silvana
    el 31/8/16

    muchas gracias Nelson, por tomarte el tiempo para explicarme, de verdad muchas gracias :D

    thumb_up1 voto/sflag