
Observa la expresión de la función, en la que podemos desarrollar el denominador:
f(t) = (18 + t^2)/(t^2 + 6t +9)
observa que tratamos con una fracción, en la que el numerador y el denominador son polinomios de grado 2, por lo tanto para toma el límite cuando t tiende a +infinito, dividimos en todos los términos del numerador y del denominador por t^2, simplificamos y quda:
Lím(t-->+inf) (18 / t^2 + 1)/(1 + 6/t + 9 / t^2) = 18/1 = 18
observa que en todos los términos con numerador constante y denominador con t o t^2 tenemos que tienden a cero.
No dejes de mirar los vídeos, que te pueden ser muy útiles.
Espero haberte ayudado.

Observa que la ecuación diferencial implícita (en la que y es función de x) es:
y/(x - y) = xy + pi
observa que a la izquierda tenemos un cociente, y a la derecha dos términos (un producto y una constante), derivamos y queda:
(y ' (x - y) - y(1 - y '))/(x - y)^2 = 1y + xy ' + 0
luego distribuimos en el numerador de la izquierda, y cancelamos el término nulo de la derecha y queda:
(y ' x - y ' y - y + yy ' )/(x - y)^2 = y + xy '
luego cancelamos términos opuestos en el numerador de la izquierda y queda:
(y ' x - y )/(x - y)^2 = y + xy '
luego hacemos pasaje del denominador de la izquierda como factor a la derecha y queda:
y ' x - y = (y + xy ' )(x - y)^2
luego distribuimos a la derecha y queda:
y ' x - y = y(x - y)^2 + xy ' (x - y)^2
luego hacemos pasajes de términos buscando agrupar términos con y' a la izquierda y queda:
y ' x - xy ' (x - y)^2 = y(x - y)^2 + y
luego extraemos factores comunes en ambos miembros y queda:
y ' x(1 - (x - y)^2) = y((x - y)^2 + 1)
por último, hacemos pasajes de factores como divisores y llegamos a:
y ' =y((x - y)^2 + 1)/(x(1 - (x - y)^2)), con la aclaración: x(1 - (x - y)^2) distinto de 0.
Espero haberte ayudado.
Hola, tengo que representar esta función y al ir a buscar los puntos de corte me la he pegado con Ruffini. Lo he hecho 2 veces y no encuentro el fallo. Si alguien me puede echar un cable, lo agradezco.
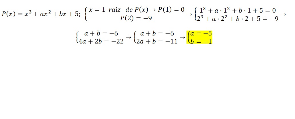
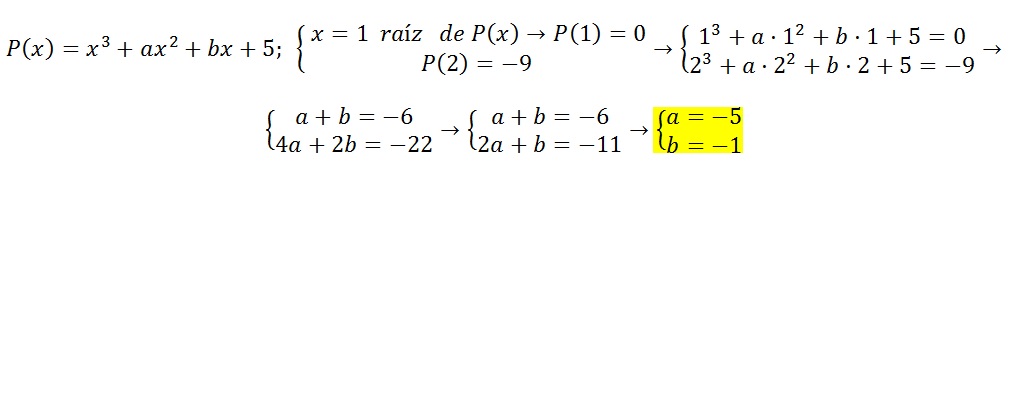
hola buenas ,tengo dudas sobre polinomios me tranco y no se como seguir ej: me pone hallar ayb bien luego admite raiz 1 y que P(2) = -9 .hago por sustitucion pero no se como seguir . necesito ayuda porfiss P(X)= x alcubo+ax ala dos+bx+5
Hola
quisiera preguntaros sobre la solución que me ha dado esta ecuación en diferencias finitas,
Yx+4−6Yx+3+9Yx+2=0
que es: C1×3^x+C2×k×3^x
(x+4, x+3 y x+2 son subindices, pero no se expresarlos con este teclado)
Pero creo no estoy segura de si es una solucion particular y no se si deberia recoger cuatro constantes,
un saludo y gracias
Hola chic@s, alguien podria ayudarme con este ejercicio? No se como hallar la ecuacion cuando es perpendicular alguien me lo podria explicar? Gracias de antemano.
Hola unicoos, necesito ayuda con esta matriz inversa, en la tercera fila me sale tres ceros y ya no se como seguir. Gracias