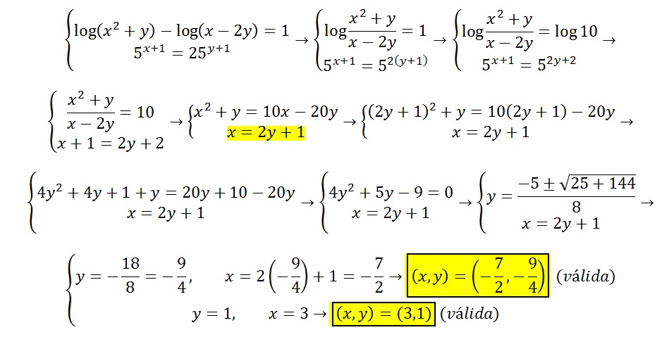
Hola, una consulta. En el caso que me den por ejemplo una transformación (no me acuerdo si era asi. ) T(ax^3+bx^2+cx+d)=3x^2+2bx+c y dos bases B y B'(te dan cuales son). Para hallar [T]BB' tendría que hacer cada transformación de los vectores de B en B'. El problema seria como usar de dato para poder transformar los vectores de B y luego escribirlos en B'.
¡Buenas! Tengo una preguntita... llevo un buen rato comiéndome la cabeza, pero vamos, que no hay manera... ¿podeis ayudarme con este apartado?: (7· ^4√ 5)^6
Puede que sea sencillito, pero es que no lo pillo...
Agradecería demasiado una respuesta.
¡Un abarazo! ;')
He estado rompiéndome la cabeza y buscando como resorverlo y nada, una ayudita?
Calcula la recta que corta a la 2x-3y=6 en el punto de abcisa 6 y además forma un ángulo de 45º con ella.
Hola!!
Una dudilla con una cuestión trigonométrica de 1° de BTO:
Resolver la siguiente ecuación :
senx-2cos2x=-1/2
Lo que he hecho ha sido desarrollar cos2x quedando: cos^2x-sen^2x y multiplicarlo todo por 2 dejándolo así:
Senx-2cos^2x+2sen^2x=-1/2
Pero no sabría como continuar, si alguien pudiese explicármelo se lo agradecería!!!

Vas muy bien, solo resta expresar todos los términos en función de senx, para ello emplea la identidad trigonométrica:
(cosx)^2 = 1 - (senx)^2
reemplazas y la ecuación queda:
senx - 2(1 - (senx)^2) + 2(senx)^2 =- 1/2
luego distribuyes y haces pasaje de término y queda:
senx - 2 + 2(senx)^2 + 2(senx)^2 + 1/2 = 0
luego reduces términos semejantes, ordenas y queda:
4(senx)^2 + senx - 3/2 = 0
luego, puedes plantear la sustitución: w = senx, y la ecuación queda
4w^2 + w - 3/2 = 0
observa que se trata de una ecuación polinómica cuadrática, aplicas la fórmula resolvente y obtienes dos soluciones
w1 = 1/2
w2 = -3/4
luego volvemos a la sustitución y tenemos (expresamos las soluciones en radianes, recuerda: pi radianes = 180°):
senx = 1/2, que nos conduce a dos soluciones: x1 = pi/6, x2 = 5pi/6
senx = -3/4, que nos conduce a dos soluciones: x3 = 0,73pi (aproximadamente), x4 = 1,73pi (aproximadamente).
Espero haberte ayudado.
Buenos días, alguien me puede decir la fórmula del coeficiente de variación?
Es urgente!!!!!
Hola! Alguien me puede ayudar con la siguiente integral? Por favor! Desde ya muchas gracias!!
∫ [(49.t^5)-1]^(1/2) dt

La 13 es correcta. La 14 no la entiendo...
La 15 es falsa... Si los limites laterales no existen (o te dan infinito, el infinito no existe), la funcion no es continua...
Te sugiero estos videos.. Continuidad de una función