El ejercicio es el siguiente: Sea V=R^3 y sea L el subespacio dado por x1 -x3 = 0
x2 -x3 = 0
A. Calcule una base del espacio cociente V/L
B. determine si 2 y 0 pertenecientes a V/L son linealmente independientes.
1 + L -1 + L
3 1
C. Calcule una base de V/L que contenga al vector 2
1 + L
3
El apartado A lo se hacer calculo una base de L y amplio hasta R^3 y los vectores de la ampliación son los de la base de V/L pero el B ya no lo se hacer. Gracias¡¡¡
hola unicoos alguien podria ayudarme con este ejercicio es que no se como debo a em pezar a desarrollar y llevo varios dias con el

Hola
Echa un ojo a estos vídeos; seguro que te ayudan
ALGEBRA - Base de un espacio vectorial
ALGEBRA Matriz de Cambio de Base 03 Coordenadas de un vector
Alguie me ayuda con este ejercico,,,
las opciones son:
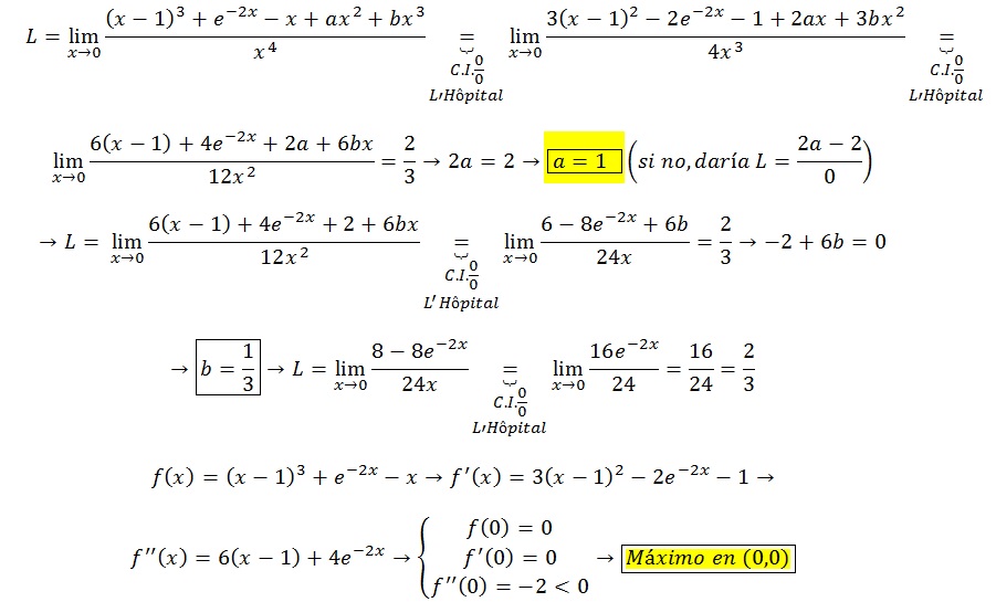
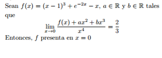
a) un maximo, a=b=1/3
b)un minimo a=b= 1
c) un punto de inflexion, a=1 y b=1/3
d) un maximo a =1 y b=1/3
e un minimo a=1 y b=1/3
no se como encararlo, pense en sustitur la f(x) en el limite o pero me queda indeterminado aunque aplique L, Hoppital, no se como seguir y como hallarsi es maximo o puntos de inflexion. se que el maximo corresponde a la derivada primera y el punto de inflexion a la segunda pero no me doy cuanta como hallarlo en dicho caso. gracias.
tengo varias dudas sobre algebra. ¿ qué significa u + W en cuanto a temas del espacio cociente ? y otra es ¿ W1 intersección W2 = 0? esta ultima es que la dimensiojn es 0 ??? Gracias ¡¡

u+W es la clase de equivalencia de u respecto del subespacio W (o módulo W). Esto es, el conjunto de vectores que, al restarles el vector u nos dan vectores de W.
Si la intersección de dos subespacios es el vector nulo, significa que solo tienen en común el vector nulo, por lo que el subespacio resultante es el subespacio de un único elemento (el vector nulo) y tiene dimensión 0.
Hola que tal? Les queria consultar una cosa. Como hago para escribir un posible sistemas de inecuaciones cuyo conjunto solucion sea el recinto graficado? Hicieron un video de ello? Creo que es progrmacion lineal, pero no logro encontrar video. Yo sabia resolver cuando ya me dan los datos o las inecuaciones y de alli graficarlo. Pero comenzar viendo el grafico ni idea :( Gracias!

Programación lineal
Si te dan el grafico, te tocará obtener las ecuaciones de las rectas... Funcion afin 01 (y=mx+n)
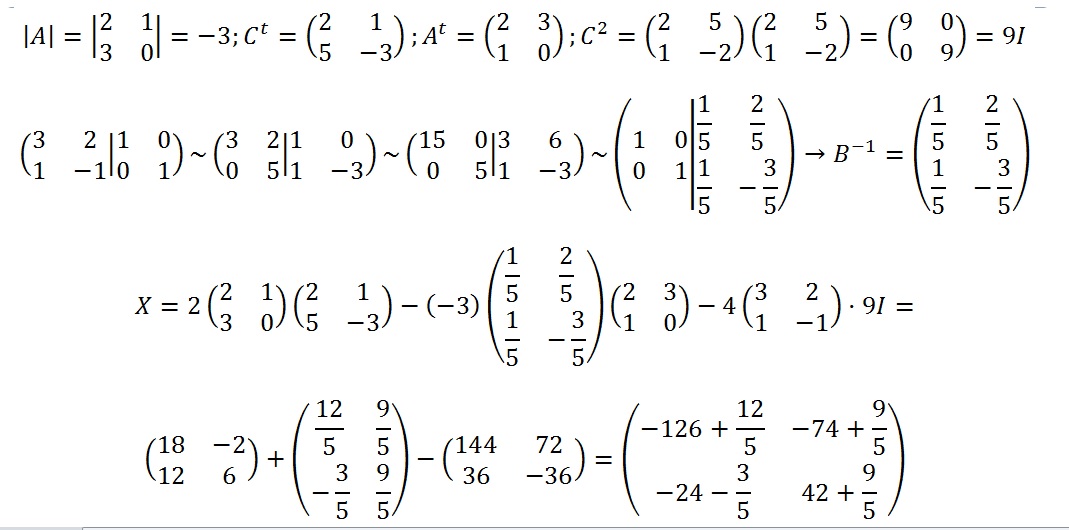
Tengo el ejercicio resuelto solo es que no entendí como fue que lo resolvió; Entiendo la parte de 2(AC^t) solo es que no se como obtuvo el resultado de esa parte que es:
-18 10
-12 6
Gracias de ante mano.
Hola! Mi duda es concreta: en esta demostración (6.4. demostrar por inducción que para cada entero n≥5, 2^n>n^2) no entiendo por qué debe cumplirse que 2n^2>(n+1)^2...Muchas gracias de antemano!! :)
Cómo se resuelven estos ejercicios: (No pido soluciones, sino cómo se resuelven ) cos x * tg x = 1/ 2 ; sen 2x = cos x ; √3 sen x + cos x = 1 ; cos 2x + 5 cos x + 3 = 0 ; cos 4x - sen 2x = 0

Son ecuaciones trigonometrivcas. Te sugiere veas estos videos...
Ecuaciones trigonometricas
Por ejemplo, si cosx. tanx=1/2... como tanx=senx/cosx te quedará cosx. senx/cosx=1/2.... senx=1/2.. Y x=30+360k y yambien x=150+360k...
#nosvemosenclase. Si sigues con dudas, se trata de que DESPUES DE IR A CLASE (ver los vídeos relacionados con vuestras dudas) enviéis dudas concretas, muy concretas. Y que nos enviéis también todo aquello que hayais conseguido hacer por vosotros mismos. Paso a paso, esté bien o mal. No solo el enunciado. De esa manera podremos saber vuestro nivel, en que podemos ayudaros, cuales son vuestros fallos.... Y el trabajo duro será el vuestro. #nosvemosenclase Nos cuentas ¿ok?