Tengo una duda, en álgebra lineal, el polinomio característico se obtiene mediante la determinante que sea igual a cero, con una formula asi P(a)= l A - k(I) l, siendo K (landa) bueno para hallar eso solo se saca la determinante de esa expresion.. tal como lo hizo en el video de Unicos: https://www.youtube.com/watch?v=8Af3Y5IDUJE ........... Bueno todo bien, resulta justo me vino en un exámen hallar el polinomio característico, confiado que estaba correcta mi resultado, resulta que fue calificado como error.. y fue únicamente por poner que El P(a)= l A - k(I) l = 0 ...... El profesor de la materia me dijo que el polinomio característico no puede ser igual a cero, que el cero solo se usa para calcular el landa, y no lo entiendo la verdad, ya investigue las definiciones de Ecuacion y polinomio se que no son iguales, pero en este caso no es igual?????.. Una ayuda porfavor y un saludos.. Gracias
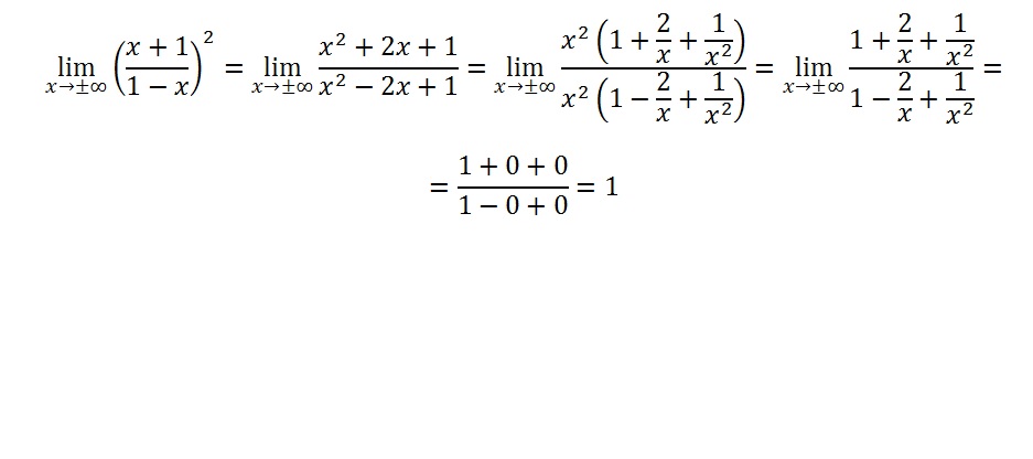
Buenas. Me gustaría saber de qué manera se calcula la asíntota horizontal de ésta función, es decir cuando tiene a +- infinito. Pero no sé que método se aplica, intenté dividiendo por "x" pero no me da.
Muchas gracias.
Hola David, tengo 17 años y me gustaría comprar unos artículos de la tienda (1 taza, y el juego completo de imanes) pero creo que no puedo por ser menor de edad, tendría que decirle a mi mamá que me proporcione sus datos o habría alguna otra opción ¿¿??
Un abrazo:-)
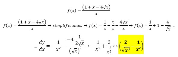
holaa!! como se resuelve esta derivada? f (x) = (1+x-4 √x ) todo esto sobre x . es decir es un cociente

Primero veamos la expresión de la función:
f(x) = (1 + x - 4*V(x)) / x = (1 + x - 4 * x^(1/2)) / x (observa que hemos escrito la raíz cuadrada como potencia con exponente fraccionario),
luego distribuimos el divisor en todos los términos, simplificamos y queda:
f(x) = 1/x + 1 - 4 * x^(-1/2) = x^(-1) + 1 - 4*x^(-1/2).
Ahora puedes derivar término a término (observa que todas son potencias con exponentes enteros o racionales, y un término es constante) y queda.
f ' (x) = -x^(-2) + 2 * x^(-3/2).
Espero haberte ayudado.
Una pregunta, si tenemos que demostrar un limite por definicion... hay un paso (va como lo hago), que le asigno un valor a lambda para hacer la desigualdad, me gustaria saber en virtud de como se elije ese valor.
por ejemplo en el limite cuando x tiende a 2 de 5x(x-3)=-10
tebgi qye 5|x-2|x-1|∠ε
Sea lambda =1 →|x-2|∠1 ⇔-1|x-2|∠1
me gustaria saber si hay algun criterio para ponerle iun valor, o regla.
gracias.
hola! alguien me puede ayudar con esto?:
me piden determinar los puntos de inflexión y los intervalos de concavidad y convexidad de la función x(t)= sen (π/2 t). Gráfica señalando los puntos de inflexión y los intervalos