HOLA, me podrían ayudar con este ejercicio por favor:
Si f(x) y g(x) son tres veces derivables, hallar la tercera derivada de (f o g)(x)
Muchas Gracias.

Primero acordemos que la primera función es g, y la segunda funcíón es f, por tanto tenemos, haciendo una sustitución:
y = f(u), con u = g(x), de la cuál tenmos: u ' = g ' (x), u '' = g '' (x).
Vamos con la derivada primera (observa que debemos aplicar la regla de la cadena):
y ' = f ' (u) * u '
Luego, vamos con la derivada segunda (observa que tenemos un producto, y en el primer factor una composición para derivar con la regla de la cadena)
y '' = f '' (u) * (u ' )^2 + f ' (u) * u ''
Luego, vamos con la derivada tercera, con las mismas consideraciones para los dos términos de la expresión
y ''' = f ''' (u) * (u ´ )^3 + 2 * f '' (u) * u ' * u '' + f '' (u) * u ´ * u ´´ + f ´ (u) * u '''
observa que nos quedaron cuatro términos ya que hemos derivado dos productos, y que podemos reducir los dos términos centrales, y llegamos a:
y ''' = f ''' (u) * (u ´ )^3 + 3 * f '' (u) * u ' * u '' + f ´ (u) * u '''.
Solamente resta reemplazar u, u ´ y u ´´ por sus expresiones correspondientes a la función g y sus derivadas.
No dejes de mirar los vídeos.
Espero haberte ayudado.
Holaa, resolvi esta integral por partes de dos maneras, y nose cual esta bien, o si me confundi en algo!! Podrian ayudarme?
Te recomiendo que uses las siglas ILATE y de acuerdo a ese orden podrás resolver con facilidad la integral.
1. I: inversa
2.L: logarítmica
3.A: algebraica
4.T: trigonométrica
5.E: exponencial
De acuerdo al orden en que este compuesta tu integral se escogerá u y por tanto, el otro será dv, el orden es el que coloque, espero que te sirva, un saludo.

Debes tener en cuenta que al aplicar el método de integración por partes, la integral secundaria que te queda debe ser más sencilla que la integral inicial o, a lo sumo, de igual complejidad.
Elegimos entonces:
u = x^2, de donde tenemos du = 2xdx
dv = cos(2x)dx, de donde tenemos v = (1/2)sen(2x)
Luego, llamamos I a la integral inicial, aplicamos el método y tenemos:
I = (1/2) * x^2 * sen(2x) - Integral(x *sen(2x) *dx
observa que la integral secundaria es más sencilla, ya que el factor polinómico es un grado menor que el original, y en el siguiente paso ya no lo tendremos, por lo que elegimos:
u = x, de donde tenemos du = dx
dv = sen(2x), de donde tenemos v = - (1/2)cos(2x)
Luego, aplicamos otra vez el método de las partes para resolver la integral secundaria y tenemos:
I = (1/2) * x^2 * sen(2x) - (- (1/2) * x * cos(2x) + (1/2) * Integral(cos(2x)*dx))
Luego, solo queda resolver la últma integral, distribuir agrupamientos, y llegamos finalmente a:
I = (1/2) * x^2 * sen(2x) + (1/2) * x * cos(2x) - (1/4) * sen(2x) + C.
Debes tener en cuenta también que en todos los pasos hemos resuelto por medio del método de sustitución (w = 2x, dw = 2dx, etcétera) las integrales de sen(2x) y cos(2x).
Además, puedes verificar la validez de nuestro resultado derivando I, y debe quedarte el integrando de la integral inicial.
No dejes de consultar los vídeos.
Espero haberte ayudado.
Hola Unicos!!. Me pueden guiar por favor en el analisis de continuidad de la función y= x^^3+x^2-8x+1
Muchas gracias

Hola.
Por qué no echas un ojo a este video? Seguro que te ayuda.
Continuidad y limites laterales
Derivabilidad y continuidad de una función

Observa que tienes tres términos a la izquierda de la igualdad, y uno a la derecha.
Luego, derivamos término a término:
cos(x) - (1/3)x - f(x) = 0 (observa que en el tercer término de la izquierda hemos aplicado el Teorema Fundamental del Cálculo Integral) despegamos y llegamos a:
cos(x) - (1/3)x = f(x), y vemos que la función f está definida en el conjunto de los números reales.
Espero haberte ayudado.

Recuerda que la derivada de una función constante es igual a cero:
y = c, con c perteneciente al conjunto de los números reales, entonces: y ' = 0.
Por este motivo hemos derivado, y en el término a la derecha de la igualdad hemos consignado que su derivada es cero.
Puedes recurrir también a los videos para mayor precisión.
Espero haberte ayudado.

Observa que con las condiciones que cumple la función F, resulta que F es diferenciable, y su derivada en la dirección de un vector unitario puede calcularse como el producto escalar entre el gradiente de la función evaluado en el punto por el vector unitario que indica su dirección. Tenemos entonces:
DuF(p) = gradF(p) o u
donde hemos indicado con u al vector unitario, y como gradF(p) al gradiente de la función evaluado en el punto de estudio.
Luego, podemos desarrollar el producto escalar y queda:
DuF(p) = |gradF(p)|*|u*cosa
donde las barras indican módulo, y a indica el ángulo determinado por el gradiente y el vector unitario (recuerda que |u| = 1), luego queda:
DuF(p) = |gradF(p)|*1*cosa
DuF(p) = |gradF(p)|*cosa
Observa que para que la expresión alcance su valor mínimo, debemos minimizar el coseno del ángulo, por lo que tenemos:
cosa = -1
a = pi (observa que resulta que el gradiente evaluado y el vector unitario tienen igual dirección, pero sentido contrario)
DuF(p) = |gradF(p)|*(-1)
DuF(p) = - |gradF(p)|
Por último, como el vector dirección es unitario, y tiene igual dirección pero sentido contrario al gradiente evaludado, tenemos que u tiene igual sentido que el opuesto del gradiente, por lo tanto:
u = - gradF(p) / |gradF(p)| (u expresa la dirección correspondiente a la mínima derivada direccional de la función F en el punto p).
Espero haberte ayudado.

Observa que puedes sumar las ecuaciones, y también restarlas, término a término.
a) Si las sumas, queda:
2senx = V(3)
senx = V(3) / 2 (observa que hemos despejado y por medio de la composición con la función inversa del serno)
x = arcsen(V(3) / 2)
y sus soluciones son: x = pi/3, x = 2pi/3.
b) Si las restas, queda:
2seny = 1
seny = 1/2
y = arcsen(1/2)
y sus soluciones son y = pi/6, y = 5pi/6.
Luego, el sistema de ecuaciones admite cuatro soluciones:
S1: x = pi/3, y = pi/6
S2: x = pi/3, y =5pi/6
S3: x = 2pi/3, y = pi/6
S4: x = 2pi/3, y = 5pi/6
Espero haberte ayudado.
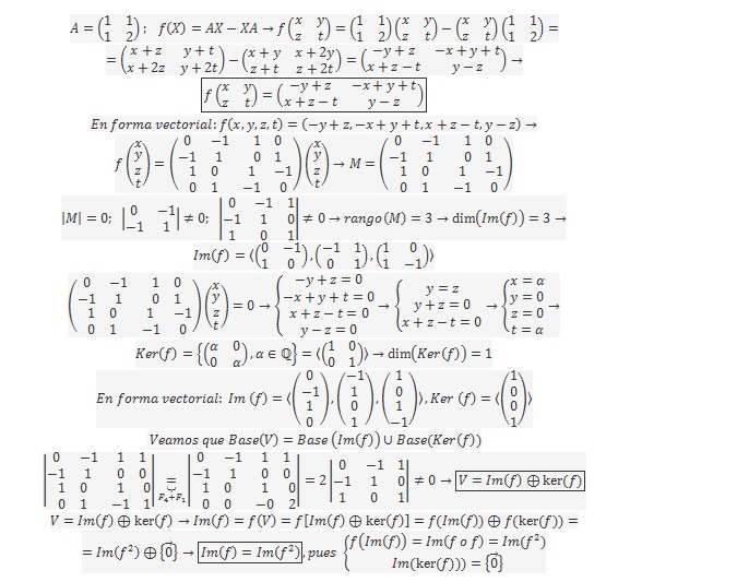
Sean V=M(2x2,Q) el espacio vectorial de las matrices 2x2 sobre el cuerpo Q y f:V--->V el homomorfismo definido por f(X)=AX-XA , donde A=(a11=1 a12=1 a21=1 a22=2)
1. Calcule las ecuaciones de f respecto de la base estándar
2.Pruebe que V= im(f)+ker(f) (se refiere a suma directa)
3. Usando el apartado 2, demuestre que im(f)=im(f^2)
Necesito ayuda por favor. Gracias¡¡