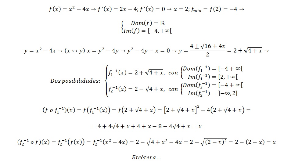
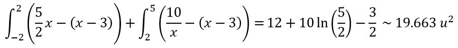
Estimados, tengo una duda sobre como resolver el siguiente ejercicio:
Hallar el área del recinto encerrado entre los gráficos f(x)=10/x, g(x) = x-3 y h(x)= (5/2)*x. Adjunto el gráfico en GeoGebra de las 3 funciones, estimo que el área a calcular es la que he sombreado en verde.
He visto varios de los videos de unicoos referidos al tema de áreas con integrales pero realmente no logro establecer los techos y pisos de esta área ya que son 3 funciones y en general el material disponible refiere a 2 funciones.
Desde ya muchísimas gracias!
Podrian ayudarme a resolver ese problema? , Estoy seguro que vendra en mi sustitutorio del dia miercoles. Muchas garcias
hola Unicoos. ¿Alguna ayuda para este ejercicio?
Sea f(x) = (x-1).(x-2).(x-3).(x-5). Demostrar que f'(x) = 0 tiene 3 raices reales distintas.
Gracias

La función f , por ser polínómica, es continua y derivable en toda la recta real, en particular en cualquier intervalo que queramos considerar.
f(1)=f(2)=f(3)=f(5)=0→f tiene exactamente cuatro raíces reales (1,2,3,5); esto es, su gráfica corta al eje OX exactamente en cuatro puntos.
Si aplicamos el Teorema de Rolle a esta función en los intervalos (1,2), (2,3) y (3,5), en cada uno de ellos hay por lo menos un valor donde la derivada se anula. O sea, que f' tiene al menos tres raíces reales distintas.
Ahora bien, como f es de 4º grado, f' ha de ser de tercer grado. Y un polinomio de grado 3 tiene como mucho tres raíces reales distintas.
De to ello, se sigue que f'(x)=0 tiene exactamente tres soluciones reales distintas: una entre 1 y2, otra entre 2 y 3 y la tercera entre 3 y 5.