Holaa, me puede ayudar con este ejercicio? |x+2|
hola unicoos!!!!
esto hace parte de un resultado para encontrar el rango de una funcion inversa...
y∧-1 = 2x ± √4x∧2-12 ÷2(todo sobre 2 :D)
parte de este procedimiento sacan 4x∧2-12 ≥ 0
como saber (el volver una ecuacion una inecuacion) si el signo es ≤ , ≥, > o < ?
gracias

Lo siento pero no entiendo lo que quieres expresar, te has comido parentesis, estoy seguro...... Sería genial una foto...
¿Es y=^(-1)= [2x ± √(4x²-12)]/2...
En ese caso el rango será exclusivamente el resultado de la inecuacion 4x²-12≥0, pues el discriminante de una raiz cuadrada siempre debe ser positivo (o igual a 0) para que tenga solucion real)... En este vídeo lo explico...
Composicion de funciones y Funcion Inversa
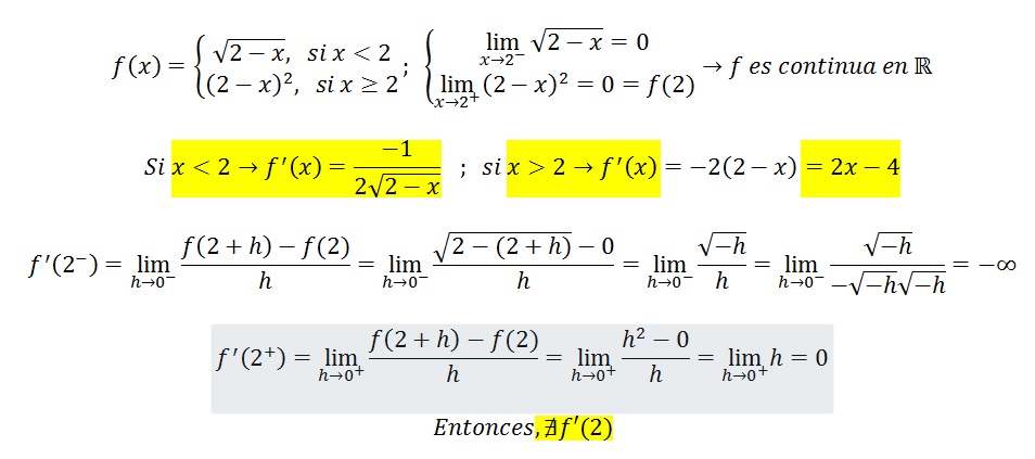
Hola Unicoos!!. Me pueden explicar por favor la resolución de este ejercicio, la consigna es encontrar la funcióon derivada en cada uno de los incisos ( mediante las reglas cuando sea conveniente y la definición cuando sea necesario)
Muchas gracias
Hola! Queria primero agradecer ya que gracias a este foro pude regularizar una materia de la universidad despues de 3 años. Estoy preparando el final ahora, tengo una duda acerca de valor absoluto. Me pide que calcule el valor absoluto de x - y. Si x es mayor que 1 y menor que 3, e y es mayor que -5 y menor que -4. Gracias!!

Tienes los datos:
1 < x < 3, -5 < y < -4
Observa que x toma valores positivos, y que y toma valores negativos, por lo que tenemos que para todo x y para todo y, siempre se cumple que x > y.
Luego nos piden calcular |x - y|, que nos da dos opciones según la definición de valor absoluto:
a) Si x >= y, tenemos |x - y| = x - y.
b) Si x < y, tenemos que |x - y| = -(x - y) = -x + y (observa que según los datos, no corresponde analizar esta opción).
Continuamos con la opción a)
A partir de los datos, tenemos que:
1 < x < 3 ,
-5 < y < -4
Luego por propiedad uniforme podemos restar miembro a miembro las desigualdades dobles, y tenemos:
6 < x - y < 7
Y como tenemos que para esta opción: x > y, llegamos finalmente a:
6 < |x - y| < 7
Espero haberte ayudado.
Unicoos! Tengo una duda, me piden graficar y^2-4y+1=0, como se hace esto?? porque no tengo 2 variables, seria una recta? Gracias

En este caso, si la ecuación es como la has escrito, puedes aplicar la fórmula resolvente y queda:
y = (4 +-V(16 - 4))/2 = (4 +-V(12))/2
que nos lleva a dos soluciones:
y = (4 + V(12))/2, que corresponde a una recta paralela al eje x, que pasa por el punto A(0 , (4 + V(12))/2);
y = (4 - V(12))/2, que corresponde a otra recta paralela al eje x, que pasa por el punto B(0 , (4 - V(12))/2).
Espero haberte ayudado.
Hola tengo una duda si es correcto el resultado.
Desde ya muchas gracias
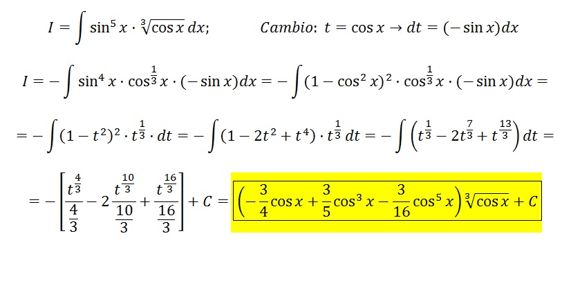
f(x) : (x^2 - 2 x - 5) . e^(2 x)
f`(x): (2x-2). e^(2 x) + (x^2 - 2 x - 5). 2 . e^(2 x)
f`(x): e^(2 x) . (2x - 2 + 2x^2 -4x -10)
(2x - 2 + 2x^2 -4x -10) =
2x^2 -2x - 12
4+/- √4-(-96) / 4
x¹=7/2 ----- x²= -6/4

La derivación la has hecho correctamente.
Si se trata de igualar la derivada a cero, tenemos:
(2x^2 -2x - 12 )*e^(2x) = 0,
luego, como el factor exponencial nunca es cero, lo pasamos como divisor y queda:
2x^2 -2x - 12 = 0,
luego, como todos los coeficientes de la ecuación son números pares, podemos dividir en todos los términos por 2 y queda:
x^2 - x - 6 = 0,
aplicamos la fórmula resolvente y tenemos que:
x = (1 +-V(1+24))/2 = (1 +- 5)/2
y las soluciones son:
x1 = 3, x2 = -2.
Espero haberte ayudado.