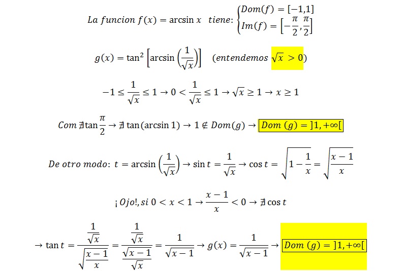
Buenas unicoos, tengo la siguiente duda, dejare la foto de la funcion aca abajo, y mi pregunta es, si me piden hallar el dominio de la funcion, el dominio me da que es de (1,∞), y a lo que voy, en este tipo de funciones, de una trigonometrica compuesta con una inversa trigonometrica, el dominio de toda la funcion, es igual al dominio de el arcsen(1/x^1/2)) por que no tomo el dominio de la tangente? si la tangente tiene un dominio de todos los reales a excepcion de cuando el cosx=0 osea en varios valores, por que el dominio total es igual a solo el dominio de el arcsen? asi me pasa en muchas funciones de este tipo ayuda porfa!
Hola unicoos! espero que esten excelente, tengo esta duda algo boba, si alguien me ayuda se lo agradezco, gracias de antemano!
¿Alguien puede ayudarme a decargar los libros de ecluides del V al XIII y que no sea la traducción de la edad media ? Muchas gracias

La última traducción al español la hizo María Luisa Puertas Castaños, para Editorial Gredos. Es una excelente traducción. Como esta profesora era compañera mía, no te voy a ayudar a que te lo descargues gratis, pues la gente que trabaja necesita que, quien se beneficia de sui trabajo, colabore en su sustento. Así que, si puedes, cómpralo. Y si no, da la tabarra en la biblioteca de tu Centro Escolar o la de tu barrio para que lo compren. Un saludo, Juan.
(P.D. También puedes encontrar en Alianza Editorial una estupenda traducción del Método de Arquímedes por esta profesora.)
Alguien aquí puede ayudarme a obtener máximos y mínimos locales así como puntos silla con las siguientes derivadas parciales, no hay videos de como hacerlo y ya lo intenté pero no me sale.
Hola, mira si tienes la función inicial podría ayudarte o podrías igualar a 0 cada derivada de 1mer orden y así hallar los puntos críticos. Ahora tendrías q remplazar en la siguiente ecuación, las ecuaciones de 2do orden D=FxxFyy-(Fxy)^2; los valores q sean mayores a 0 serán un máximo o un mínimo, mientras q los valores menores a 0 son puntos de silla.
Me podrán ayudar con este ejecicio, la consigna es hallar los puntos (si existen) en los cuales la función f(X)=(4x)/(X+1) tiene recta tangente paralela a y=-1/4x+3.
Lo que hice fue igualar la primera ecuación a la segunda, pero no se como continuar
Gracias por su ayuda
Hola buenas tardes,
Para hallar los puntos en que f(x) tiene recta tangente a una recta y, debes saber que la ecuación de la recta tangente a un punto de la función es (y - yo) = f'(x) (x - xo) en la que la derivada de la función inicial nos da el pendiente de la recta tangente. Si la recta y i la recta tangente a la función f(x) en un punto son paralelas significa que tienen el mismo pendiente. Entonces para hallar los valores de x para los cuales se corrobora ese hecho debemos igualar la derivada de f(x) y el pendiente de la recta "y".
Saludos,
Roger Monreal
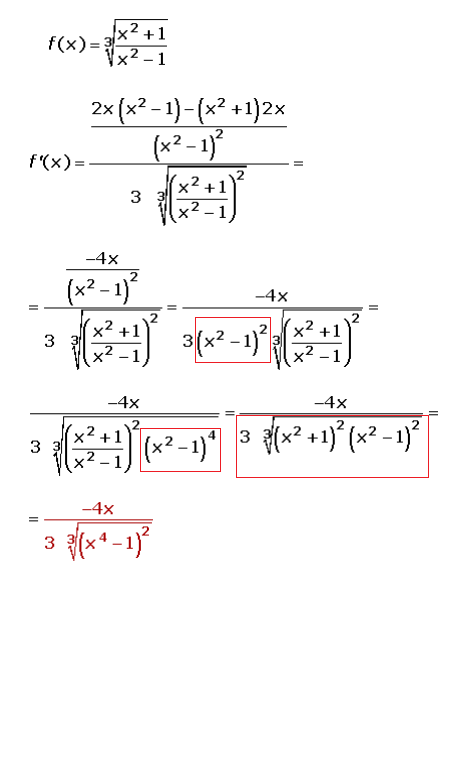
En la siguiente resolución de esta derivada , ¿alguien me podría explicar el como mete el (x^2-1)^2 a la raiz cúbica y a partir de ese paso ? , en resumen no entiendo que hace en los cuadros rojos
Buenas, nuevamente, me podrán ayudar por favor con este ejercicio:
La consigna es encontrar las coordenadas de los punto P0(X, Y) de la curva y=x^3-3x cuya recta tangente tenga pendiente igual a 9
Muchas gracias